mp-13541/Sr2MgB2O6/anharm

Harmonic properties

../../_images/fig_bandos_pr14894.png

(a) Phonon dispersion with participation ratio and DOS

../../_images/fig_thermo14894.png

(b) Thermodynamic properties

Grüneisen parameters

../../_images/fig_gru_all6393.png

(a) Grüneisen parameters

../../_images/fig_gruneisen6393.png

(b) Phonon dispersion with Grüneisen parameters

Thermal conductivity

3-phonon (LASSO) — q-mesh: 15x15x13, supercell: 1x2x2

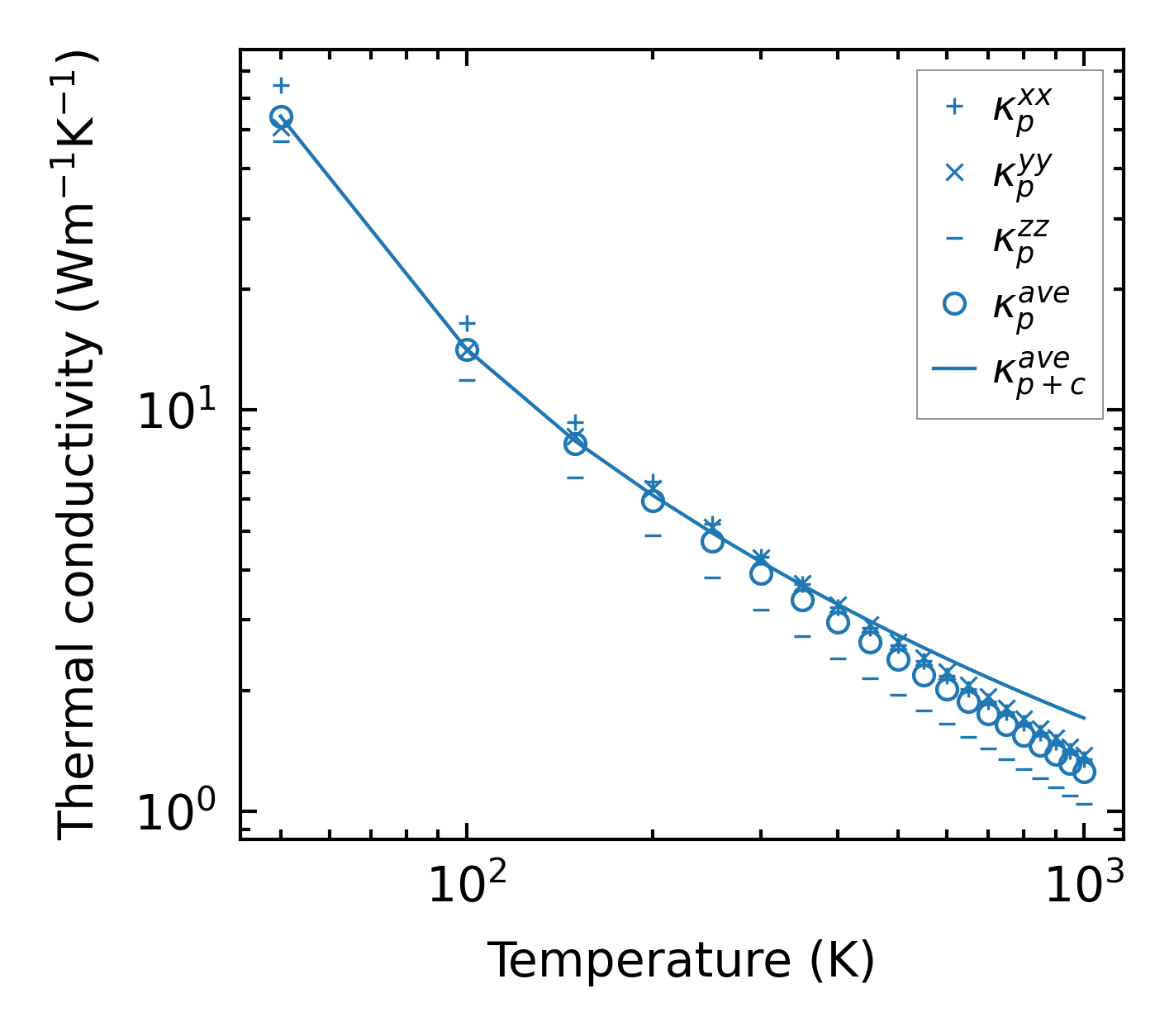
../../_images/fig_kappa12023.png

(a) Temperature-dependent lattice thermal conductivity

../../_images/fig_kappa_vs_grain_size6470.png

(b) Peierls lattice thermal conductivity w.r.t grain size

Phonon lifetime and scattering rates

../../_images/fig_lifetime6328.png

(a) Phonon lifetime due to phonon-phonon scattering

../../_images/fig_scat_rates6327.png

(b) Phonon scattering rates

Cumulative and spectral thermal conductivity

../../_images/fig_cumu_frequency6328.png

(a) Spectral and cumulative thermal conductivity w.r.t frequency

../../_images/fig_cumu_mfp6327.png

(b) Spectral and cumulative thermal conductivity w.r.t MFP

Force constants

../../_images/fig_fc214511.png

(a) Force constants w.r.t atomic distance

Summary

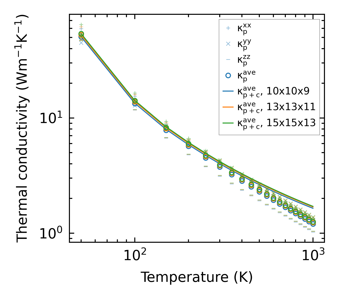
../../_images/fig_kappa12024.png

(a) Temperature-dependent lattice thermal conductivity

../../_images/fig_times24700.png

(b) Computation time