mp-13178/AlN/anharm

Harmonic properties

../../_images/fig_bandos_pr14843.png

(a) Phonon dispersion with participation ratio and DOS

../../_images/fig_thermo14843.png

(b) Thermodynamic properties

Grüneisen parameters

../../_images/fig_gru_all6365.png

(a) Grüneisen parameters

../../_images/fig_gruneisen6365.png

(b) Phonon dispersion with Grüneisen parameters

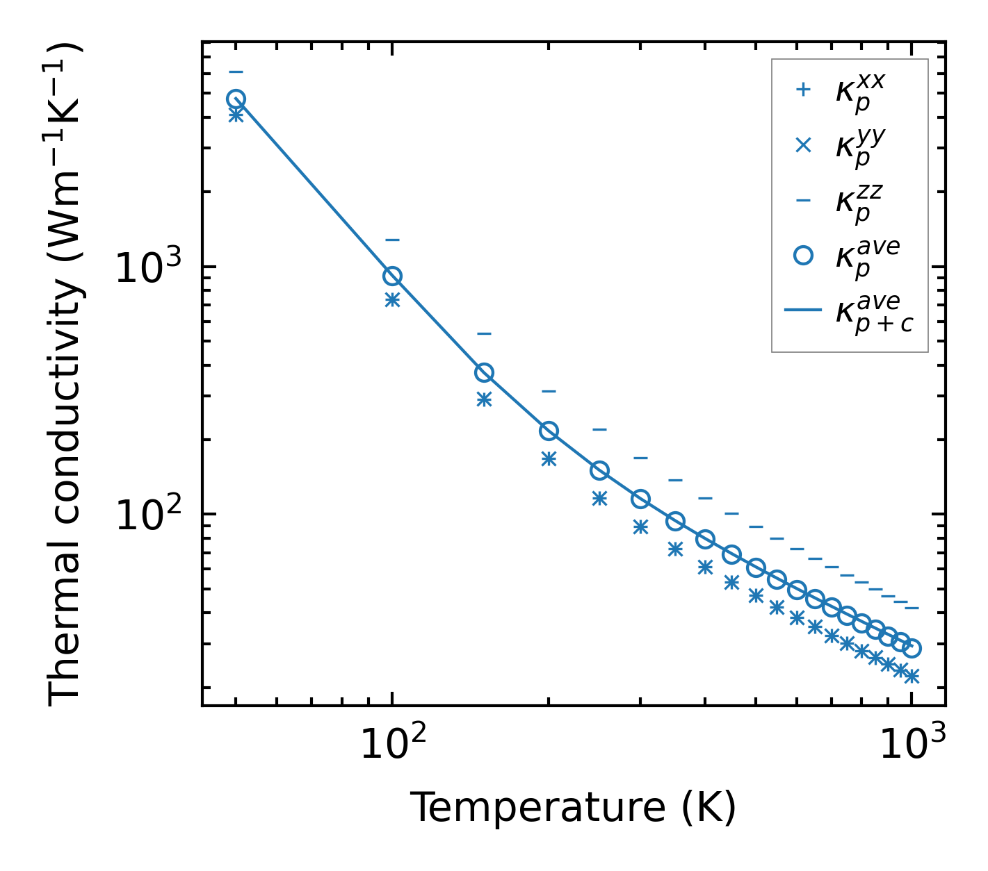
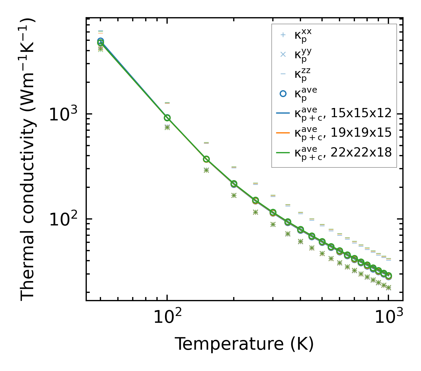
Thermal conductivity

3-phonon (LASSO) — q-mesh: 22x22x18, supercell: 3x3x3

../../_images/fig_kappa11970.png

(a) Temperature-dependent lattice thermal conductivity

../../_images/fig_kappa_vs_grain_size6441.png

(b) Peierls lattice thermal conductivity w.r.t grain size

Phonon lifetime and scattering rates

../../_images/fig_lifetime6300.png

(a) Phonon lifetime due to phonon-phonon scattering

../../_images/fig_scat_rates6299.png

(b) Phonon scattering rates

Cumulative and spectral thermal conductivity

../../_images/fig_cumu_frequency6300.png

(a) Spectral and cumulative thermal conductivity w.r.t frequency

../../_images/fig_cumu_mfp6299.png

(b) Spectral and cumulative thermal conductivity w.r.t MFP

Force constants

../../_images/fig_fc214461.png

(a) Force constants w.r.t atomic distance

Summary

../../_images/fig_kappa11971.png

(a) Temperature-dependent lattice thermal conductivity

../../_images/fig_times24633.png

(b) Computation time