mp-13836/URh2O6/anharm

Harmonic properties

../../_images/fig_bandos_pr14975.png

(a) Phonon dispersion with participation ratio and DOS

../../_images/fig_thermo14974.png

(b) Thermodynamic properties

Grüneisen parameters

../../_images/fig_gru_all6429.png

(a) Grüneisen parameters

../../_images/fig_gruneisen6429.png

(b) Phonon dispersion with Grüneisen parameters

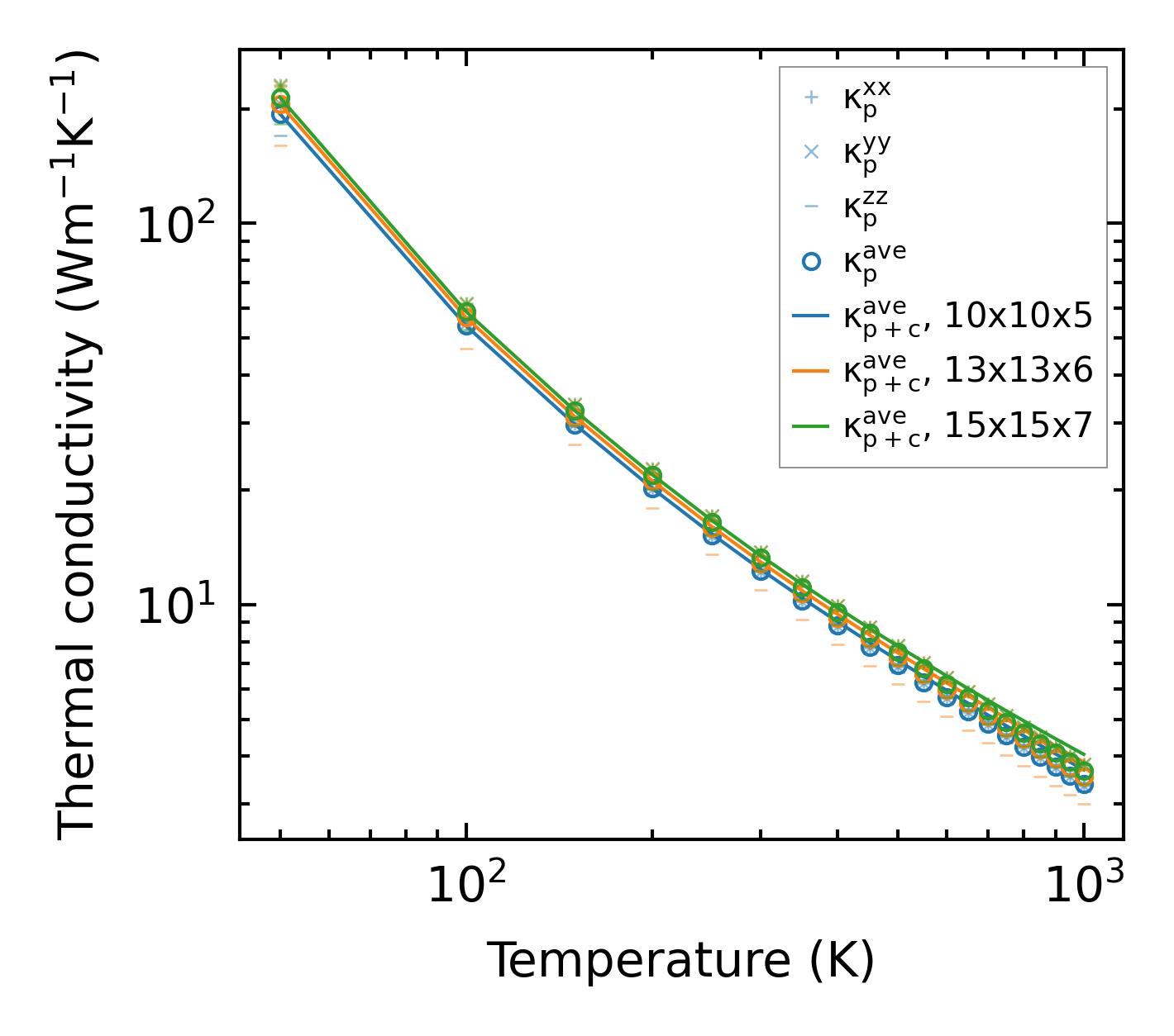
Thermal conductivity

3-phonon (LASSO) — q-mesh: 15x15x7, supercell: 2x2x2

../../_images/fig_kappa12090.png

(a) Temperature-dependent lattice thermal conductivity

../../_images/fig_kappa_vs_grain_size6506.png

(b) Peierls lattice thermal conductivity w.r.t grain size

Phonon lifetime and scattering rates

../../_images/fig_lifetime6363.png

(a) Phonon lifetime due to phonon-phonon scattering

../../_images/fig_scat_rates6362.png

(b) Phonon scattering rates

Cumulative and spectral thermal conductivity

../../_images/fig_cumu_frequency6363.png

(a) Spectral and cumulative thermal conductivity w.r.t frequency

../../_images/fig_cumu_mfp6362.png

(b) Spectral and cumulative thermal conductivity w.r.t MFP

Force constants

../../_images/fig_fc214592.png

(a) Force constants w.r.t atomic distance

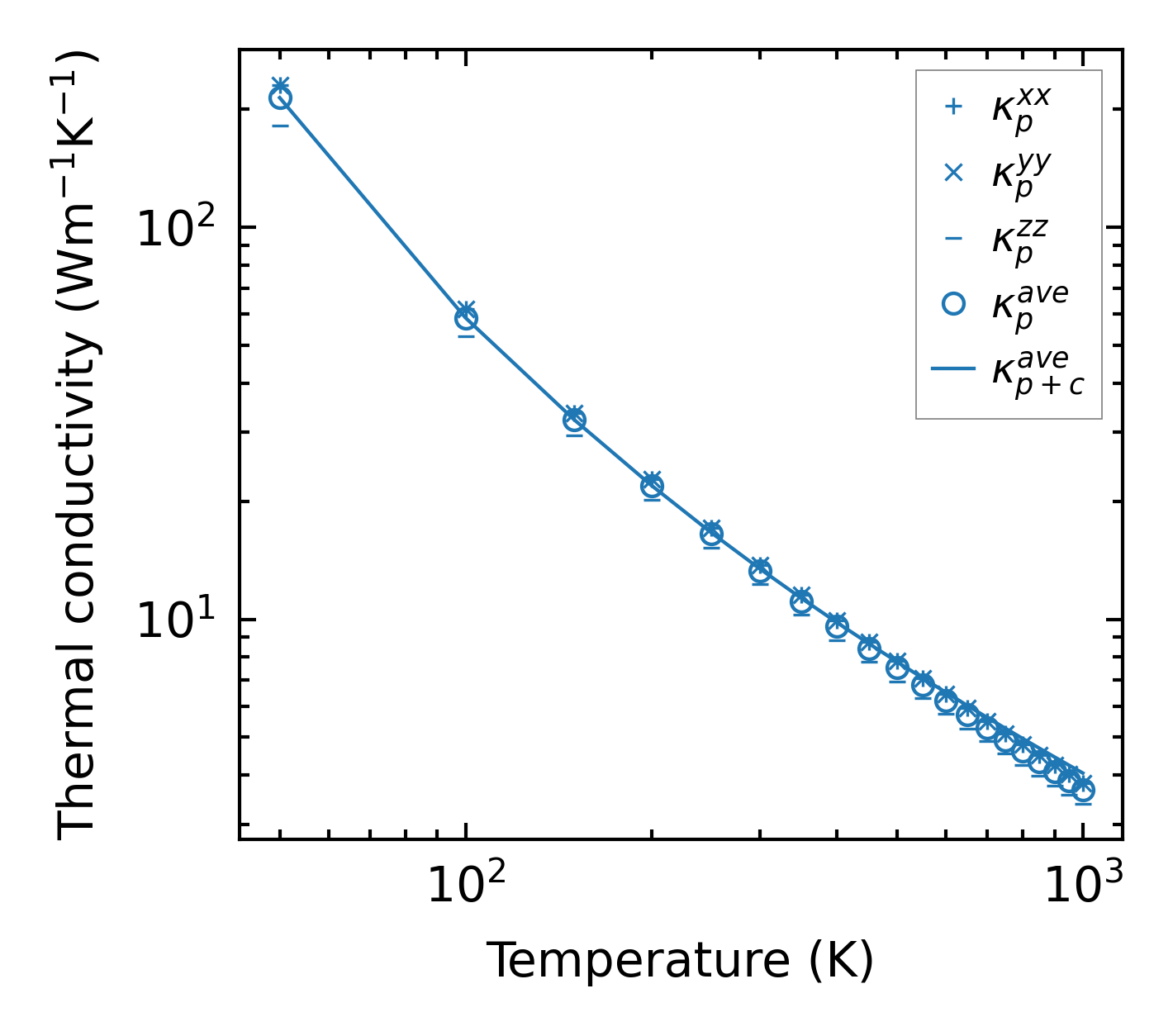
Summary

../../_images/fig_kappa12091.png

(a) Temperature-dependent lattice thermal conductivity

../../_images/fig_times24811.png

(b) Computation time