mp-13068/Lu2O3/anharm

Harmonic properties

../../_images/fig_bandos_pr15187.png

(a) Phonon dispersion with participation ratio and DOS

../../_images/fig_thermo15186.png

(b) Thermodynamic properties

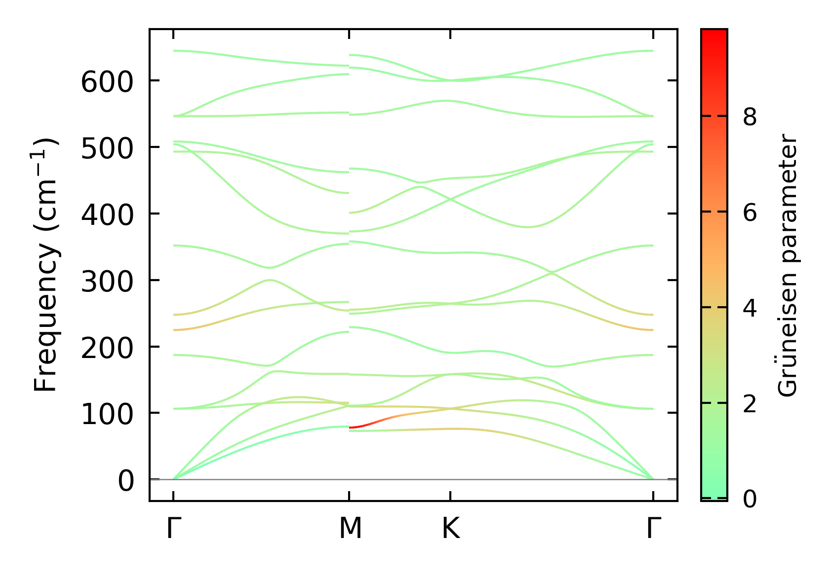
Grüneisen parameters

../../_images/fig_gru_all6528.png

(a) Grüneisen parameters

../../_images/fig_gruneisen6528.png

(b) Phonon dispersion with Grüneisen parameters

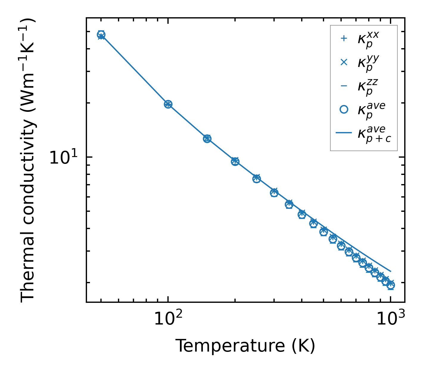
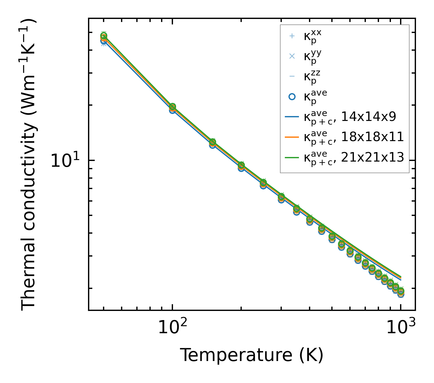
Thermal conductivity

3-phonon (LASSO) — q-mesh: 21x21x13, supercell: 3x3x2

../../_images/fig_kappa12286.png

(a) Temperature-dependent lattice thermal conductivity

../../_images/fig_kappa_vs_grain_size6605.png

(b) Peierls lattice thermal conductivity w.r.t grain size

Phonon lifetime and scattering rates

../../_images/fig_lifetime6462.png

(a) Phonon lifetime due to phonon-phonon scattering

../../_images/fig_scat_rates6461.png

(b) Phonon scattering rates

Cumulative and spectral thermal conductivity

../../_images/fig_cumu_frequency6462.png

(a) Spectral and cumulative thermal conductivity w.r.t frequency

../../_images/fig_cumu_mfp6461.png

(b) Spectral and cumulative thermal conductivity w.r.t MFP

Force constants

../../_images/fig_fc214799.png

(a) Force constants w.r.t atomic distance

Summary

../../_images/fig_kappa12287.png

(a) Temperature-dependent lattice thermal conductivity

../../_images/fig_times25132.png

(b) Computation time