mp-13133/K2TiO3/anharm

Harmonic properties

../../_images/fig_bandos_pr14836.png

(a) Phonon dispersion with participation ratio and DOS

../../_images/fig_thermo14836.png

(b) Thermodynamic properties

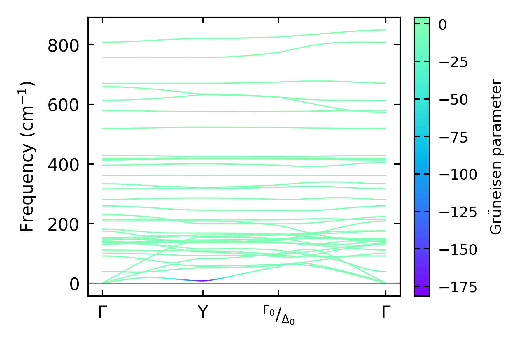
Grüneisen parameters

../../_images/fig_gru_all6362.png

(a) Grüneisen parameters

../../_images/fig_gruneisen6362.png

(b) Phonon dispersion with Grüneisen parameters

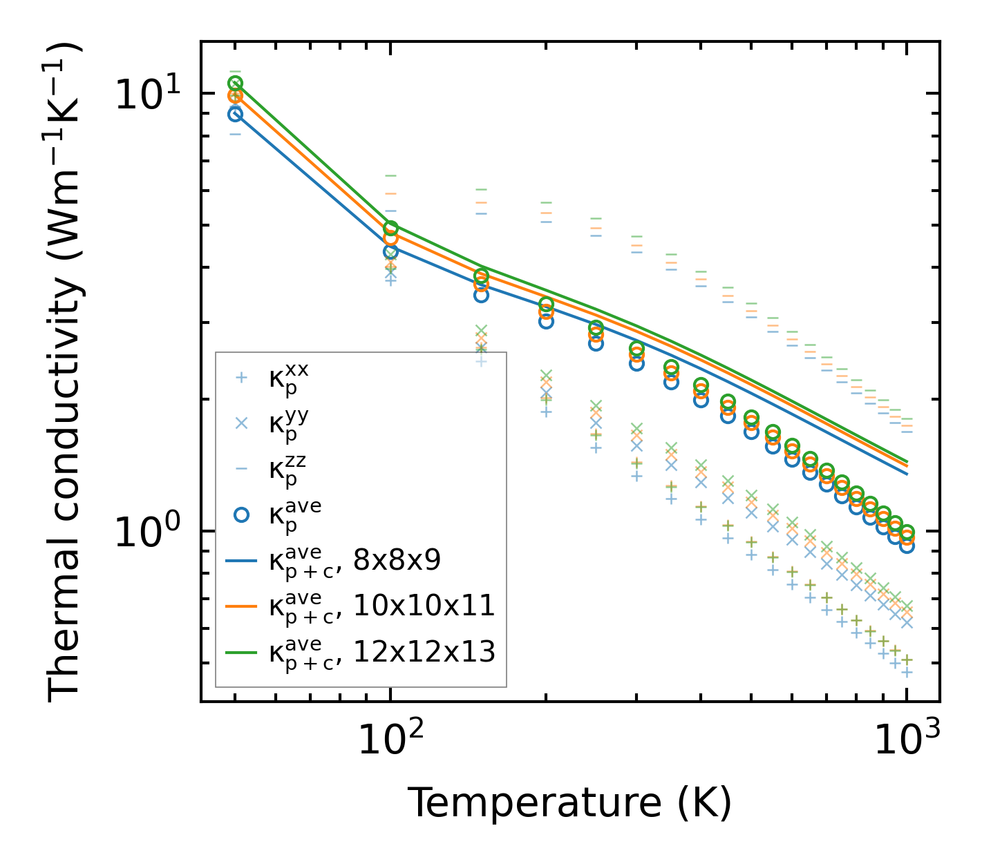
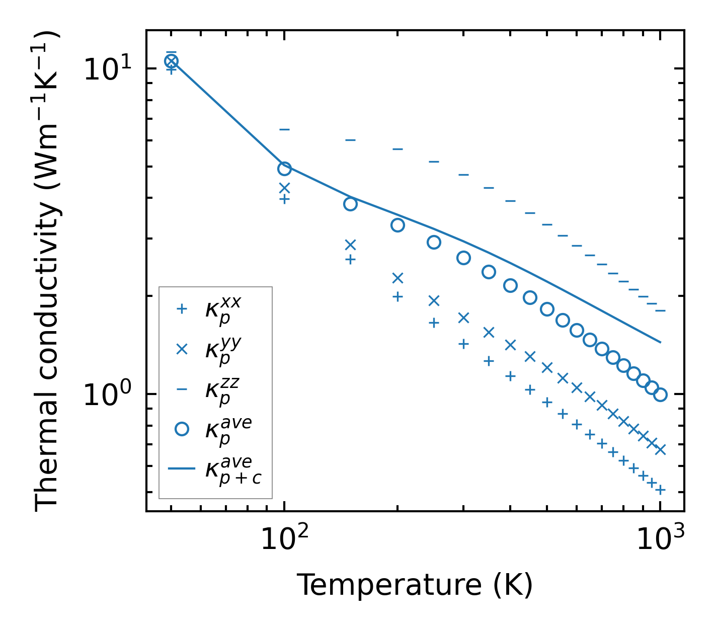
Thermal conductivity

3-phonon (LASSO) — q-mesh: 12x12x13, supercell: 1x2x2

../../_images/fig_kappa11964.png

(a) Temperature-dependent lattice thermal conductivity

../../_images/fig_kappa_vs_grain_size6438.png

(b) Peierls lattice thermal conductivity w.r.t grain size

Phonon lifetime and scattering rates

../../_images/fig_lifetime6297.png

(a) Phonon lifetime due to phonon-phonon scattering

../../_images/fig_scat_rates6296.png

(b) Phonon scattering rates

Cumulative and spectral thermal conductivity

../../_images/fig_cumu_frequency6297.png

(a) Spectral and cumulative thermal conductivity w.r.t frequency

../../_images/fig_cumu_mfp6296.png

(b) Spectral and cumulative thermal conductivity w.r.t MFP

Force constants

../../_images/fig_fc214454.png

(a) Force constants w.r.t atomic distance

Summary

../../_images/fig_kappa11965.png

(a) Temperature-dependent lattice thermal conductivity

../../_images/fig_times24624.png

(b) Computation time