mp-13903/ZnSnF6/anharm

Harmonic properties

../../_images/fig_bandos_pr14990.png

(a) Phonon dispersion with participation ratio and DOS

../../_images/fig_thermo14989.png

(b) Thermodynamic properties

Grüneisen parameters

../../_images/fig_gru_all6436.png

(a) Grüneisen parameters

../../_images/fig_gruneisen6436.png

(b) Phonon dispersion with Grüneisen parameters

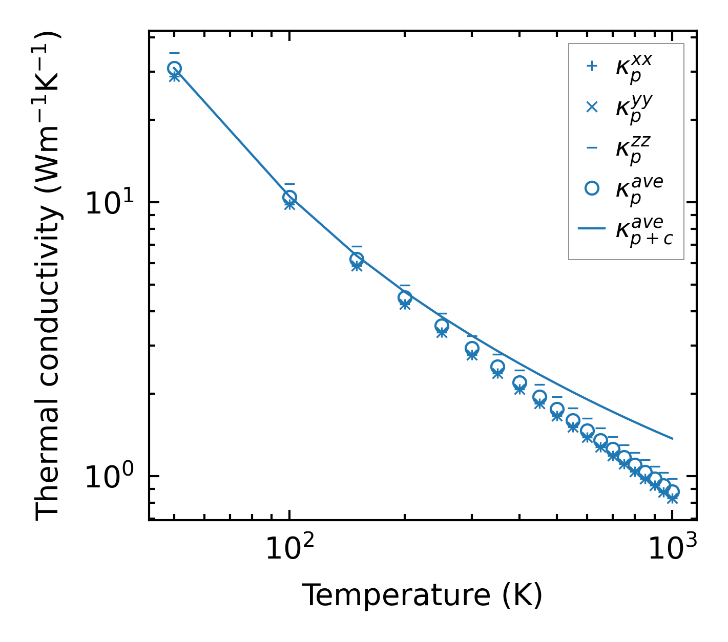
Thermal conductivity

3-phonon (LASSO) — q-mesh: 15x15x15, supercell: 2x2x1

../../_images/fig_kappa12103.png

(a) Temperature-dependent lattice thermal conductivity

../../_images/fig_kappa_vs_grain_size6513.png

(b) Peierls lattice thermal conductivity w.r.t grain size

Phonon lifetime and scattering rates

../../_images/fig_lifetime6370.png

(a) Phonon lifetime due to phonon-phonon scattering

../../_images/fig_scat_rates6369.png

(b) Phonon scattering rates

Cumulative and spectral thermal conductivity

../../_images/fig_cumu_frequency6370.png

(a) Spectral and cumulative thermal conductivity w.r.t frequency

../../_images/fig_cumu_mfp6369.png

(b) Spectral and cumulative thermal conductivity w.r.t MFP

Force constants

../../_images/fig_fc214607.png

(a) Force constants w.r.t atomic distance

Summary

../../_images/fig_kappa12104.png

(a) Temperature-dependent lattice thermal conductivity

../../_images/fig_times24829.png

(b) Computation time