mp-13758/Nd4Re2O11/anharm

Equation of state

../../_images/fig_bm7494.png

(a) Equation of state

Harmonic properties

../../_images/fig_bandos_pr14946.png

(a) Phonon dispersion with participation ratio and DOS

../../_images/fig_thermo14946.png

(b) Thermodynamic properties

Grüneisen parameters

../../_images/fig_gru_all6414.png

(a) Grüneisen parameters

../../_images/fig_gruneisen6414.png

(b) Phonon dispersion with Grüneisen parameters

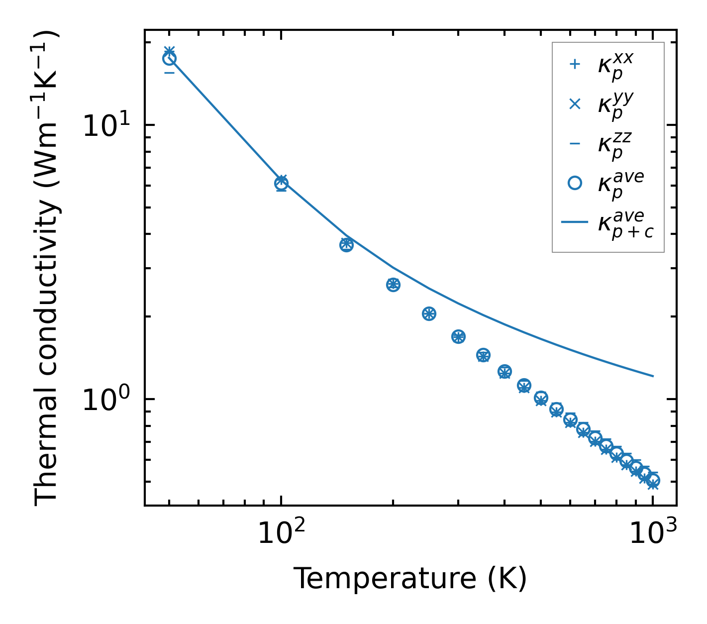
Thermal conductivity

3-phonon (LASSO) — q-mesh: 5x5x12, supercell: 1x1x2

../../_images/fig_kappa12061.png

(a) Temperature-dependent lattice thermal conductivity

../../_images/fig_kappa_vs_grain_size6491.png

(b) Peierls lattice thermal conductivity w.r.t grain size

Phonon lifetime and scattering rates

../../_images/fig_lifetime6348.png

(a) Phonon lifetime due to phonon-phonon scattering

../../_images/fig_scat_rates6347.png

(b) Phonon scattering rates

Cumulative and spectral thermal conductivity

../../_images/fig_cumu_frequency6348.png

(a) Spectral and cumulative thermal conductivity w.r.t frequency

../../_images/fig_cumu_mfp6347.png

(b) Spectral and cumulative thermal conductivity w.r.t MFP

Force constants

../../_images/fig_fc214563.png

(a) Force constants w.r.t atomic distance

Summary

../../_images/fig_kappa12062.png

(a) Temperature-dependent lattice thermal conductivity

../../_images/fig_times24775.png

(b) Computation time