mp-13974-2/Ho2SeO2/anharm

Equation of state

../../_images/fig_bm7532.png

(a) Equation of state

Harmonic properties

../../_images/fig_bandos_pr15015.png

(a) Phonon dispersion with participation ratio and DOS

../../_images/fig_thermo15014.png

(b) Thermodynamic properties

Grüneisen parameters

../../_images/fig_gru_all6450.png

(a) Grüneisen parameters

../../_images/fig_gruneisen6450.png

(b) Phonon dispersion with Grüneisen parameters

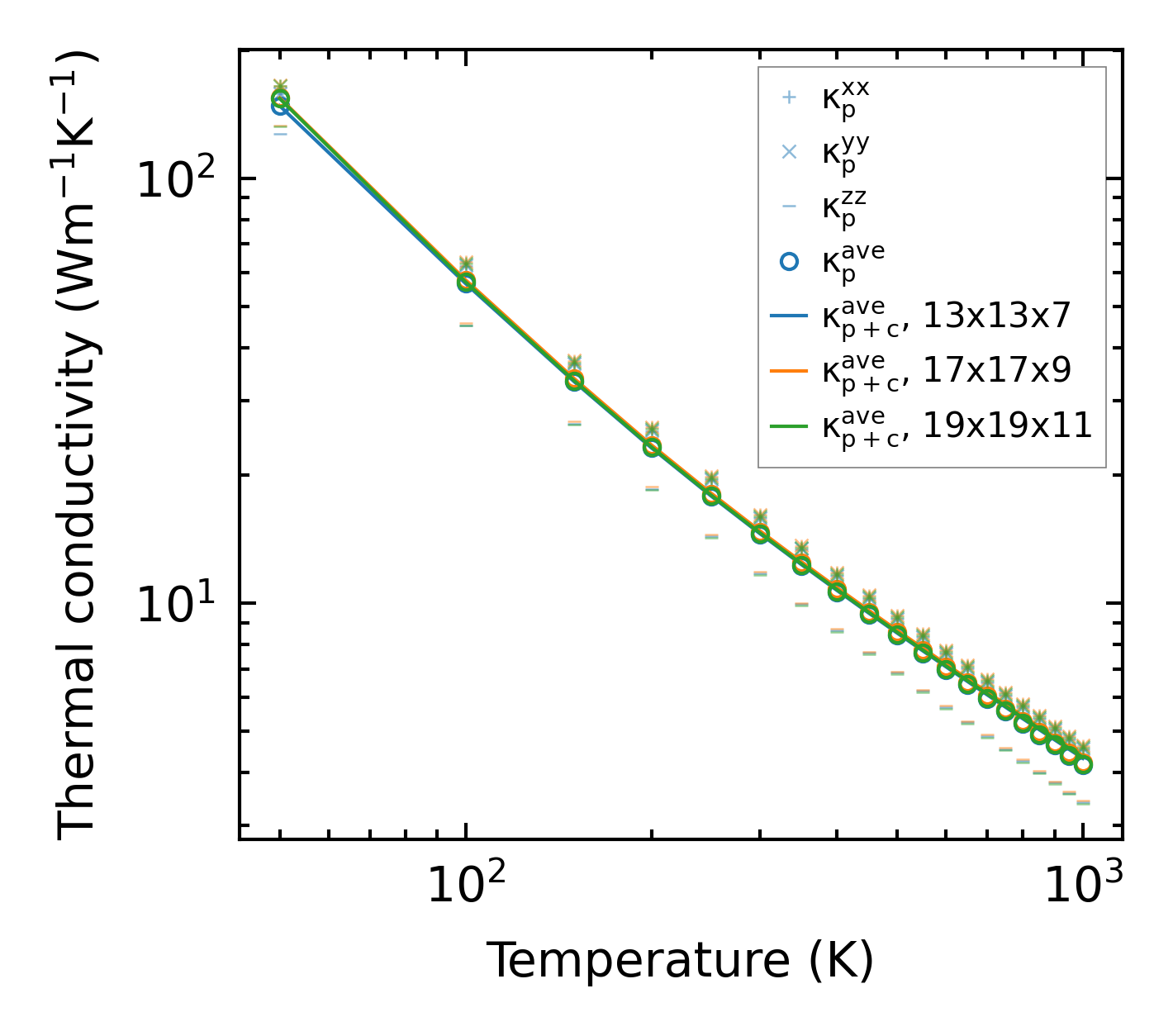
Thermal conductivity

3-phonon (LASSO) — q-mesh: 19x19x11, supercell: 3x3x2

../../_images/fig_kappa12130.png

(a) Temperature-dependent lattice thermal conductivity

../../_images/fig_kappa_vs_grain_size6527.png

(b) Peierls lattice thermal conductivity w.r.t grain size

Phonon lifetime and scattering rates

../../_images/fig_lifetime6384.png

(a) Phonon lifetime due to phonon-phonon scattering

../../_images/fig_scat_rates6383.png

(b) Phonon scattering rates

Cumulative and spectral thermal conductivity

../../_images/fig_cumu_frequency6384.png

(a) Spectral and cumulative thermal conductivity w.r.t frequency

../../_images/fig_cumu_mfp6383.png

(b) Spectral and cumulative thermal conductivity w.r.t MFP

Force constants

../../_images/fig_fc214632.png

(a) Force constants w.r.t atomic distance

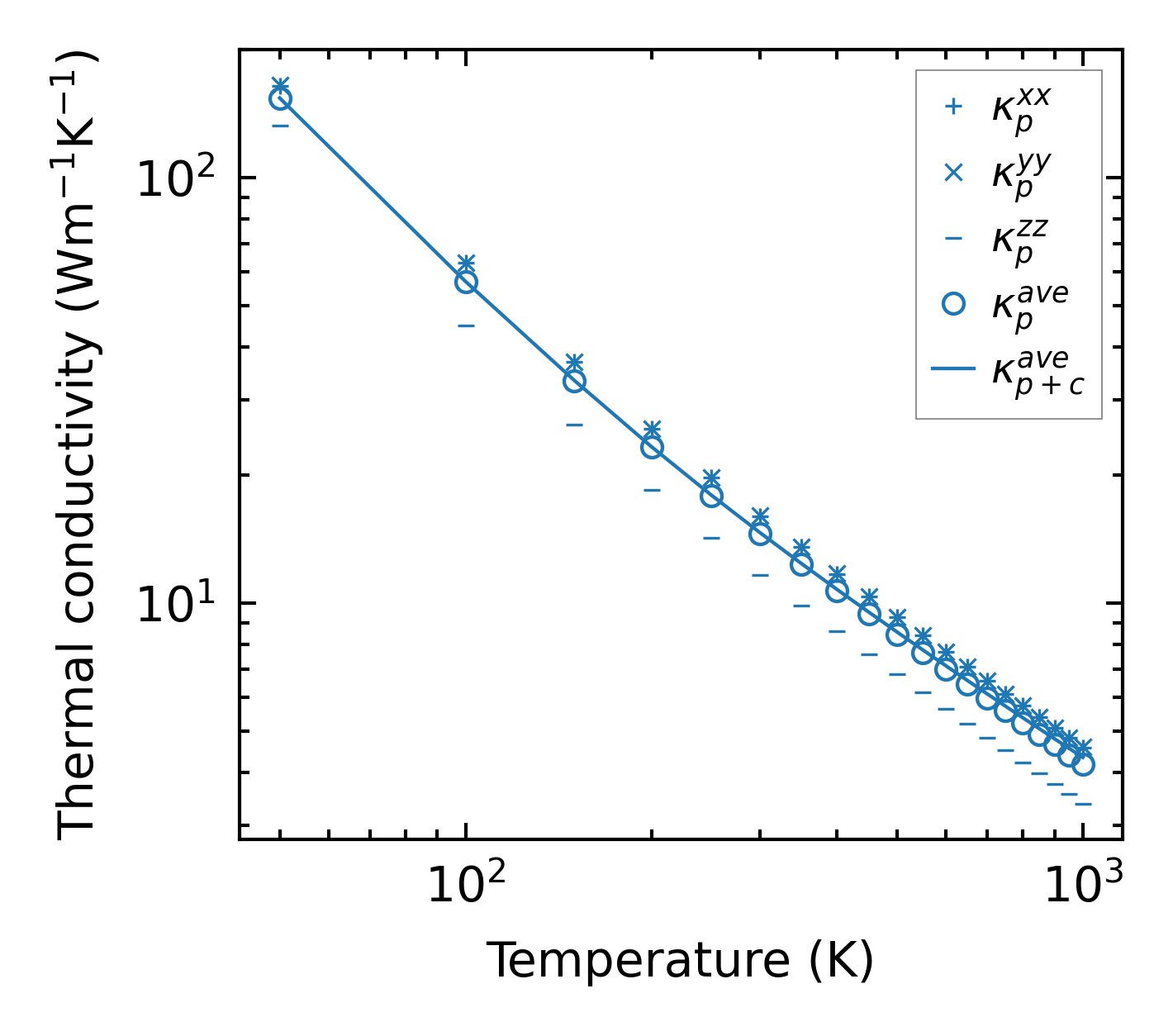
Summary

../../_images/fig_kappa12131.png

(a) Temperature-dependent lattice thermal conductivity

../../_images/fig_times24854.png

(b) Computation time