mp-13827-2/CaB2O4/anharm

Equation of state

../../_images/fig_bm7511.png

(a) Equation of state

Harmonic properties

../../_images/fig_bandos_pr14974.png

(a) Phonon dispersion with participation ratio and DOS

../../_images/fig_bandos19336.png

(b) Phonon dispersion and DOS

../../_images/fig_thermo14973.png

(c) Thermodynamic properties

Grüneisen parameters

../../_images/fig_gru_all6428.png

(a) Grüneisen parameters

../../_images/fig_gruneisen6428.png

(b) Phonon dispersion with Grüneisen parameters

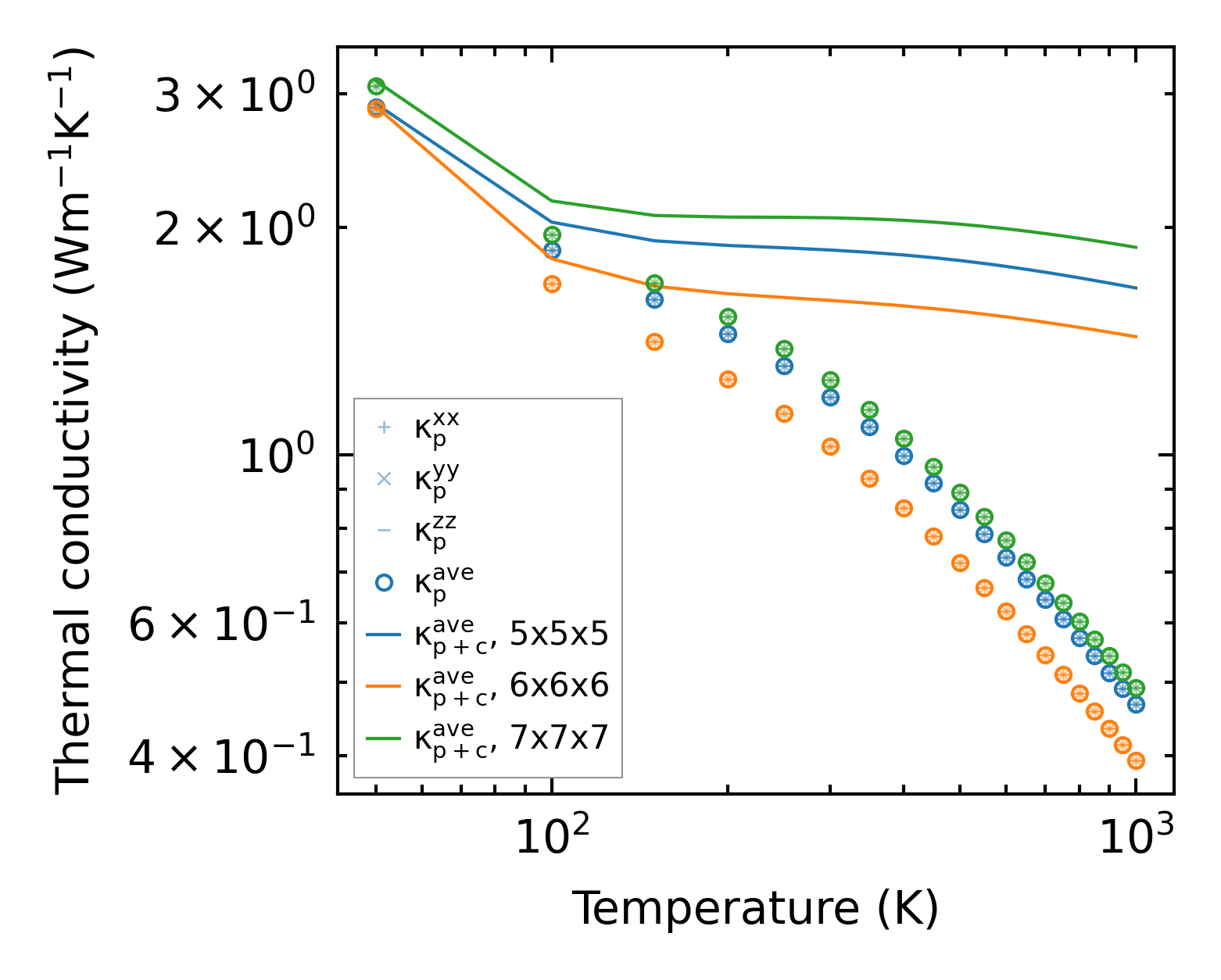
Thermal conductivity

3-phonon (LASSO) — q-mesh: 7x7x7, supercell: 1x1x1

../../_images/fig_kappa12088.png

(a) Temperature-dependent lattice thermal conductivity

../../_images/fig_kappa_vs_grain_size6505.png

(b) Peierls lattice thermal conductivity w.r.t grain size

Phonon lifetime and scattering rates

../../_images/fig_lifetime6362.png

(a) Phonon lifetime due to phonon-phonon scattering

../../_images/fig_scat_rates6361.png

(b) Phonon scattering rates

Cumulative and spectral thermal conductivity

../../_images/fig_cumu_frequency6362.png

(a) Spectral and cumulative thermal conductivity w.r.t frequency

../../_images/fig_cumu_mfp6361.png

(b) Spectral and cumulative thermal conductivity w.r.t MFP

Force constants

../../_images/fig_fc214591.png

(a) Force constants w.r.t atomic distance

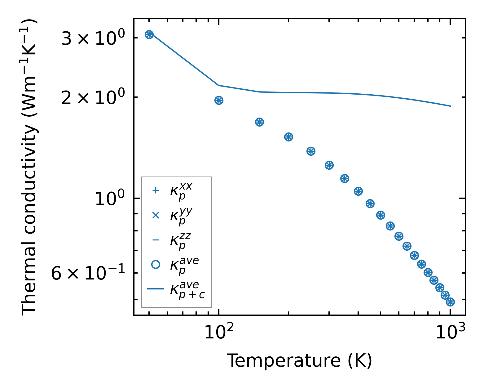
Summary

../../_images/fig_kappa12089.png

(a) Temperature-dependent lattice thermal conductivity

../../_images/fig_times24808.png

(b) Computation time