mp-13771-2/Sc2Cd3Ge3O12/anharm

Equation of state

../../_images/fig_bm7496.png

(a) Equation of state

Harmonic properties

../../_images/fig_bandos_pr14950.png

(a) Phonon dispersion with participation ratio and DOS

../../_images/fig_thermo14949.png

(b) Thermodynamic properties

Grüneisen parameters

../../_images/fig_gru_all6417.png

(a) Grüneisen parameters

../../_images/fig_gruneisen6417.png

(b) Phonon dispersion with Grüneisen parameters

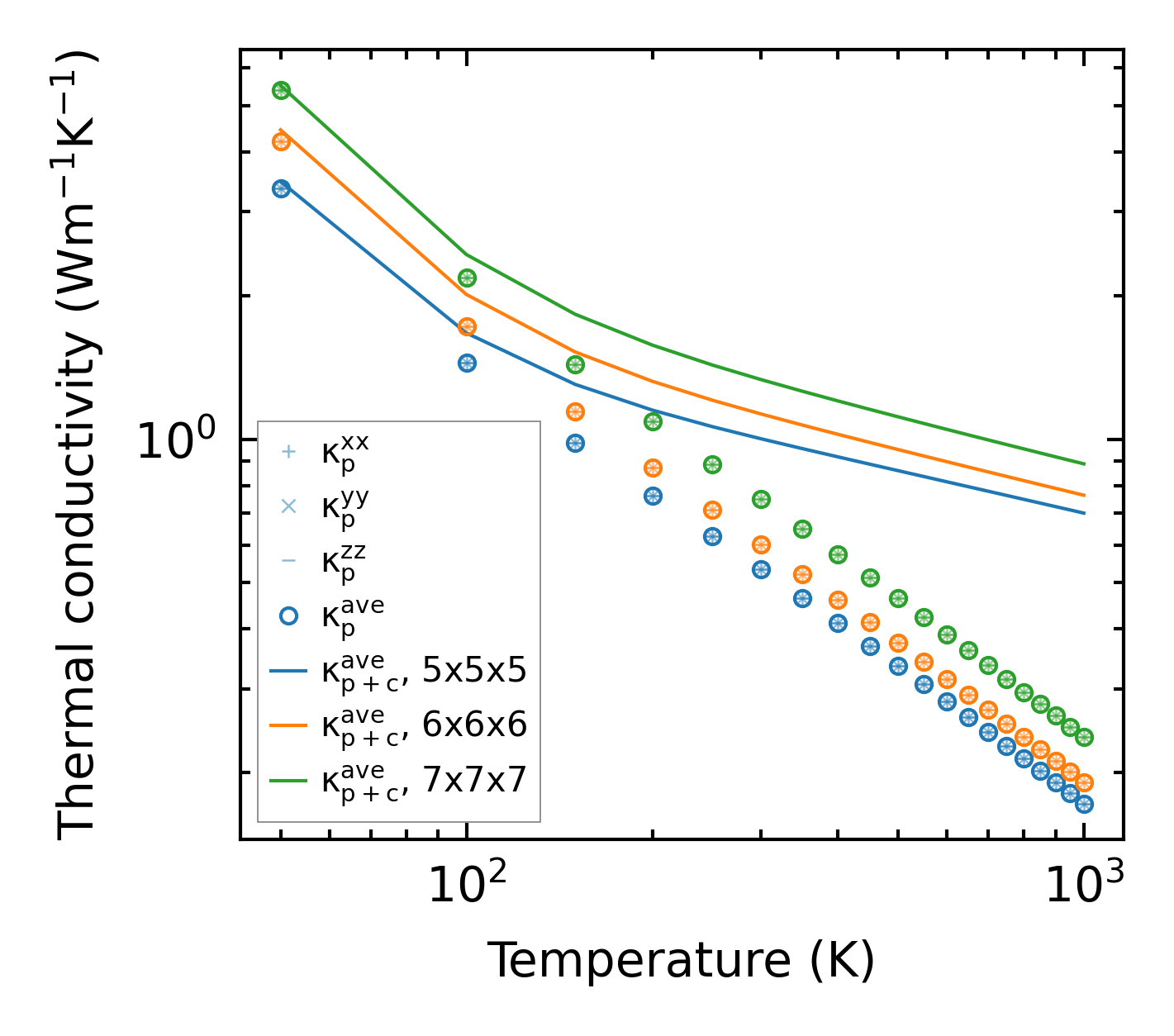
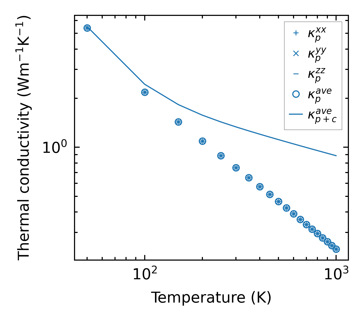
Thermal conductivity

3-phonon (LASSO) — q-mesh: 7x7x7, supercell: 1x1x1

../../_images/fig_kappa12067.png

(a) Temperature-dependent lattice thermal conductivity

../../_images/fig_kappa_vs_grain_size6494.png

(b) Peierls lattice thermal conductivity w.r.t grain size

Phonon lifetime and scattering rates

../../_images/fig_lifetime6351.png

(a) Phonon lifetime due to phonon-phonon scattering

../../_images/fig_scat_rates6350.png

(b) Phonon scattering rates

Cumulative and spectral thermal conductivity

../../_images/fig_cumu_frequency6351.png

(a) Spectral and cumulative thermal conductivity w.r.t frequency

../../_images/fig_cumu_mfp6350.png

(b) Spectral and cumulative thermal conductivity w.r.t MFP

Force constants

../../_images/fig_fc214567.png

(a) Force constants w.r.t atomic distance

Summary

../../_images/fig_kappa12068.png

(a) Temperature-dependent lattice thermal conductivity

../../_images/fig_times24779.png

(b) Computation time