mp-13946-2/Rb2ZrF6/anharm

Equation of state

../../_images/fig_bm7524.png

(a) Equation of state

Harmonic properties

../../_images/fig_bandos_pr14998.png

(a) Phonon dispersion with participation ratio and DOS

../../_images/fig_bandos19355.png

(b) Phonon dispersion and DOS

../../_images/fig_thermo14997.png

(c) Thermodynamic properties

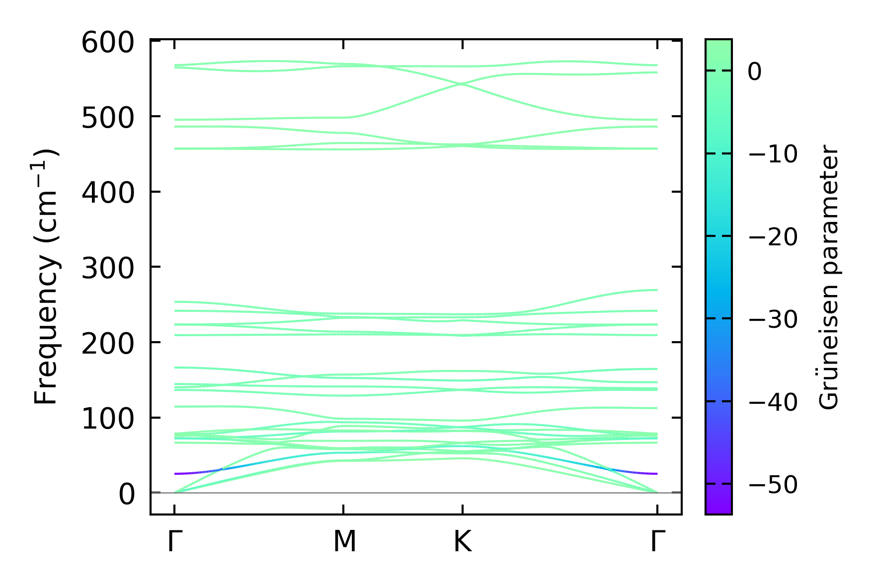
Grüneisen parameters

../../_images/fig_gru_all6441.png

(a) Grüneisen parameters

../../_images/fig_gruneisen6441.png

(b) Phonon dispersion with Grüneisen parameters

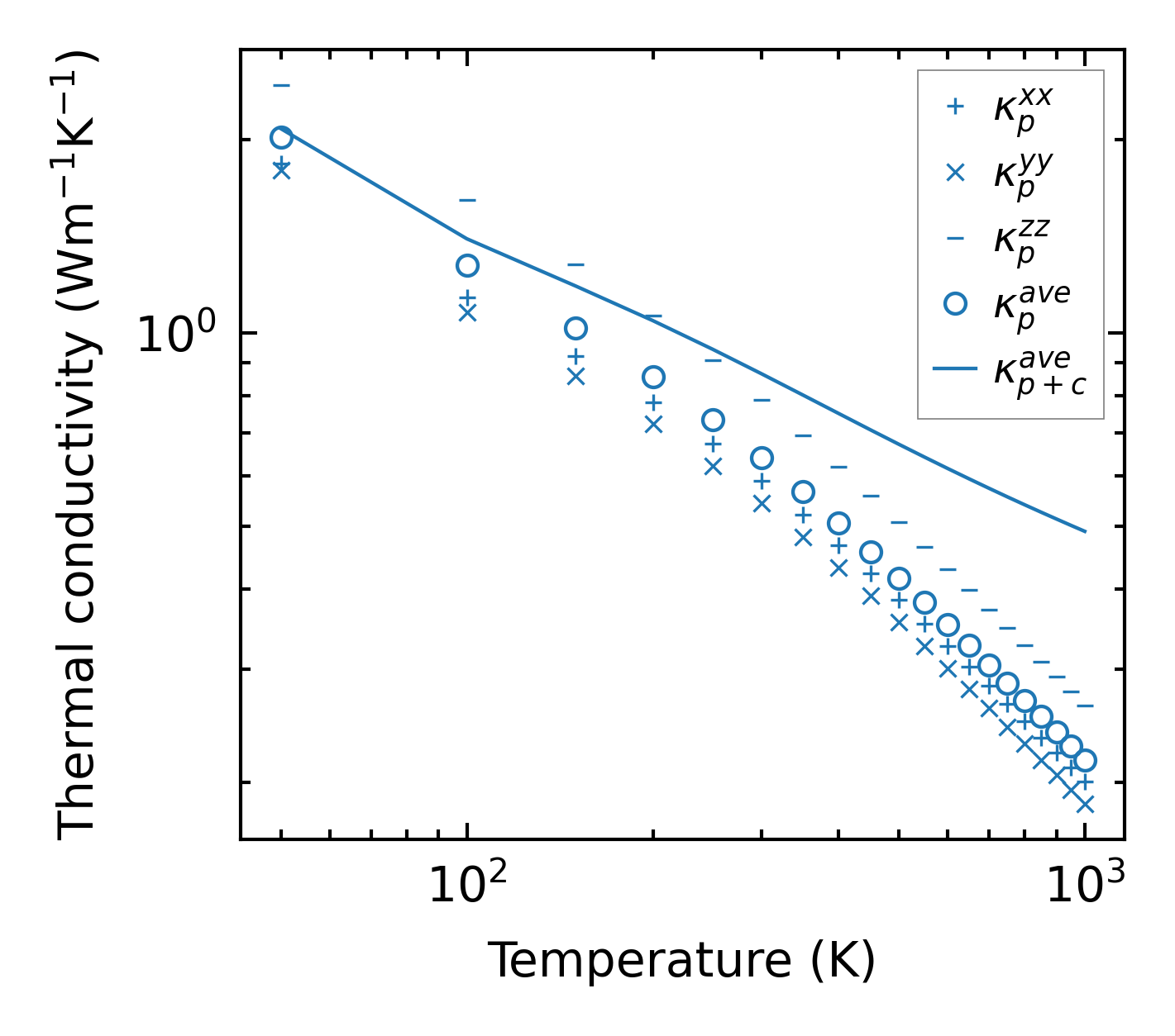
Thermal conductivity

3-phonon (LASSO) — q-mesh: 12x12x15, supercell: 2x2x3

../../_images/fig_kappa12113.png

(a) Temperature-dependent lattice thermal conductivity

../../_images/fig_kappa_vs_grain_size6518.png

(b) Peierls lattice thermal conductivity w.r.t grain size

Phonon lifetime and scattering rates

../../_images/fig_lifetime6375.png

(a) Phonon lifetime due to phonon-phonon scattering

../../_images/fig_scat_rates6374.png

(b) Phonon scattering rates

Cumulative and spectral thermal conductivity

../../_images/fig_cumu_frequency6375.png

(a) Spectral and cumulative thermal conductivity w.r.t frequency

../../_images/fig_cumu_mfp6374.png

(b) Spectral and cumulative thermal conductivity w.r.t MFP

Force constants

../../_images/fig_fc214615.png

(a) Force constants w.r.t atomic distance

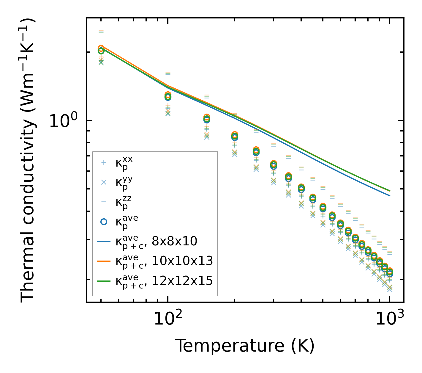
Summary

../../_images/fig_kappa12114.png

(a) Temperature-dependent lattice thermal conductivity

../../_images/fig_times24837.png

(b) Computation time