mp-13816-2/Cs2NaErF6/anharm

Equation of state

../../_images/fig_bm7509.png

(a) Equation of state

Harmonic properties

../../_images/fig_bandos_pr14970.png

(a) Phonon dispersion with participation ratio and DOS

../../_images/fig_thermo14969.png

(b) Thermodynamic properties

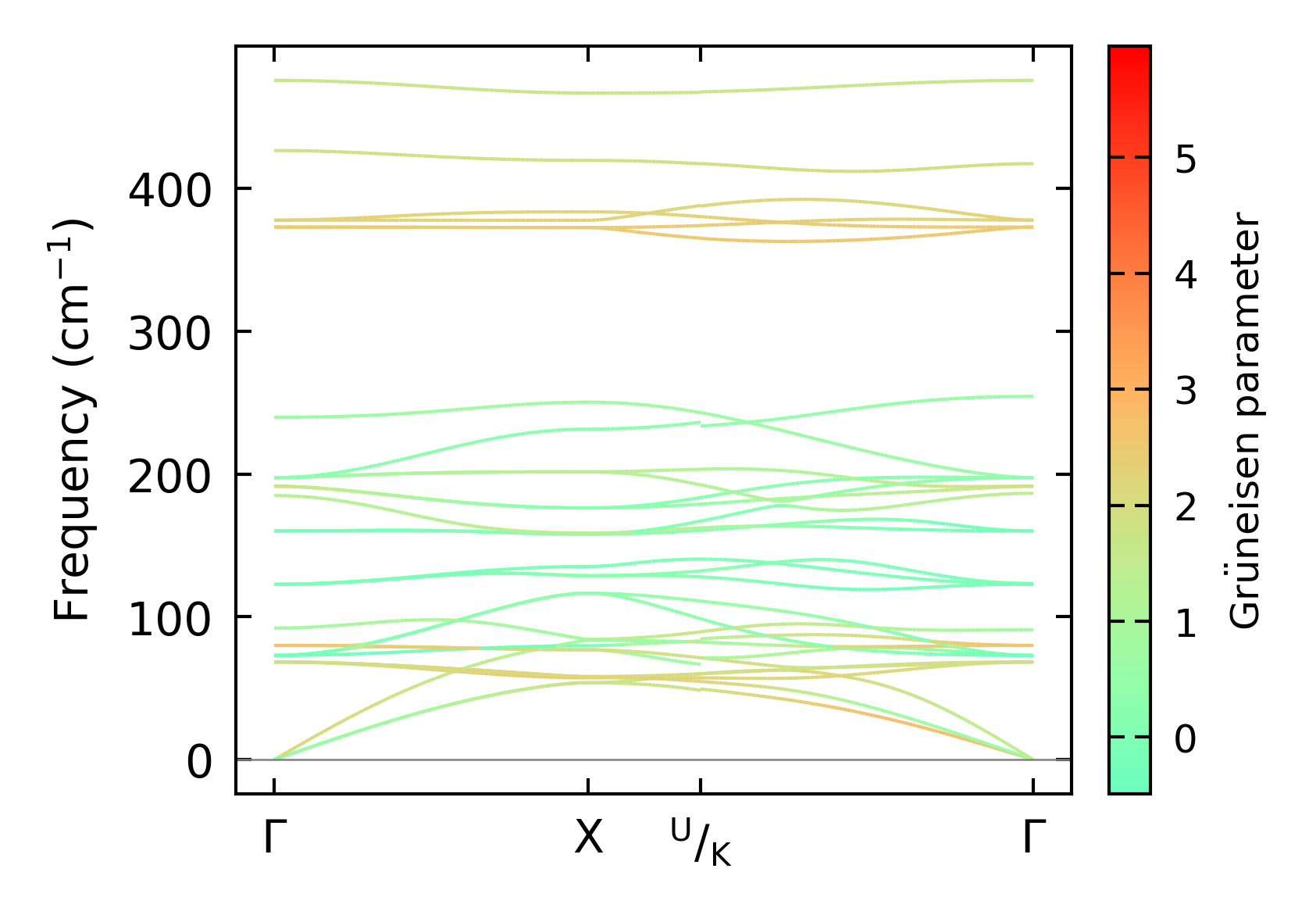
Grüneisen parameters

../../_images/fig_gru_all6424.png

(a) Grüneisen parameters

../../_images/fig_gruneisen6424.png

(b) Phonon dispersion with Grüneisen parameters

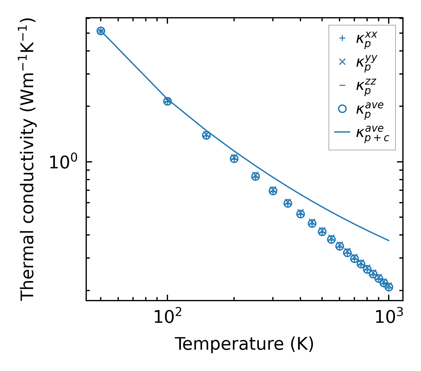
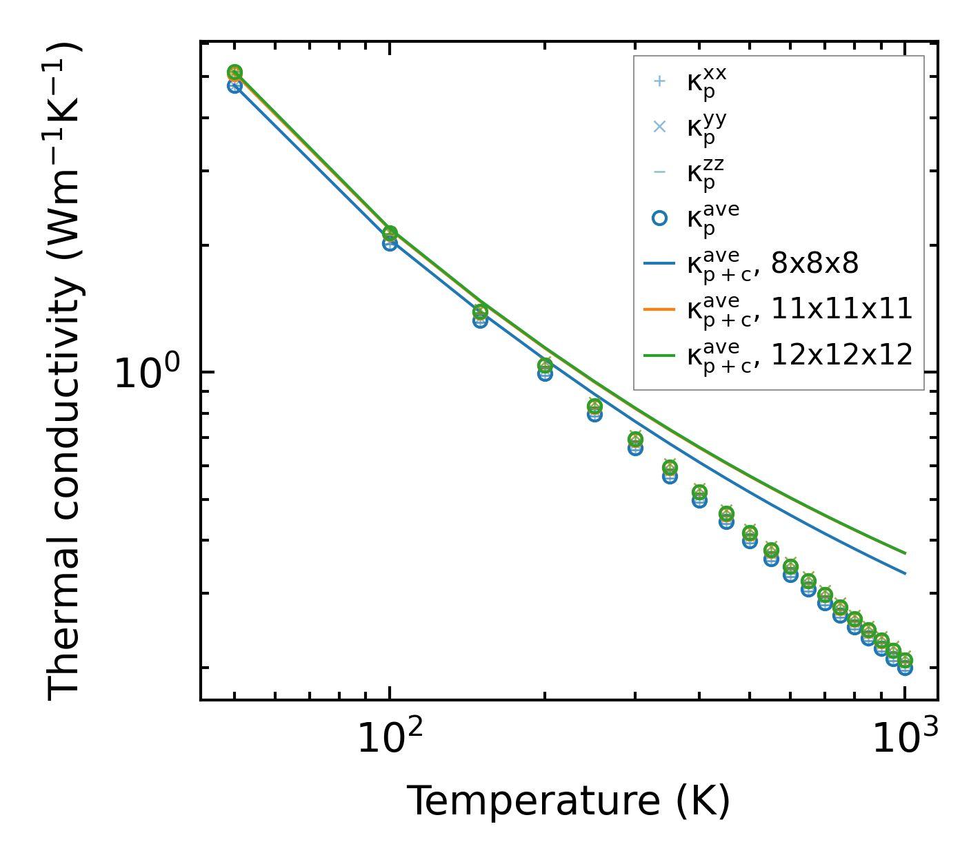
Thermal conductivity

3-phonon (LASSO) — q-mesh: 12x12x12, supercell: 1x1x1

../../_images/fig_kappa12080.png

(a) Temperature-dependent lattice thermal conductivity

../../_images/fig_kappa_vs_grain_size6501.png

(b) Peierls lattice thermal conductivity w.r.t grain size

Phonon lifetime and scattering rates

../../_images/fig_lifetime6358.png

(a) Phonon lifetime due to phonon-phonon scattering

../../_images/fig_scat_rates6357.png

(b) Phonon scattering rates

Cumulative and spectral thermal conductivity

../../_images/fig_cumu_frequency6358.png

(a) Spectral and cumulative thermal conductivity w.r.t frequency

../../_images/fig_cumu_mfp6357.png

(b) Spectral and cumulative thermal conductivity w.r.t MFP

Force constants

../../_images/fig_fc214587.png

(a) Force constants w.r.t atomic distance

Summary

../../_images/fig_kappa12081.png

(a) Temperature-dependent lattice thermal conductivity

../../_images/fig_times24804.png

(b) Computation time