mp-13031-2/MgSe/anharm

Equation of state

../../_images/fig_bm7542.png

(a) Equation of state

Harmonic properties

../../_images/fig_bandos_pr15169.png

(a) Phonon dispersion with participation ratio and DOS

../../_images/fig_thermo15168.png

(b) Thermodynamic properties

Grüneisen parameters

../../_images/fig_gru_all6513.png

(a) Grüneisen parameters

../../_images/fig_gruneisen6513.png

(b) Phonon dispersion with Grüneisen parameters

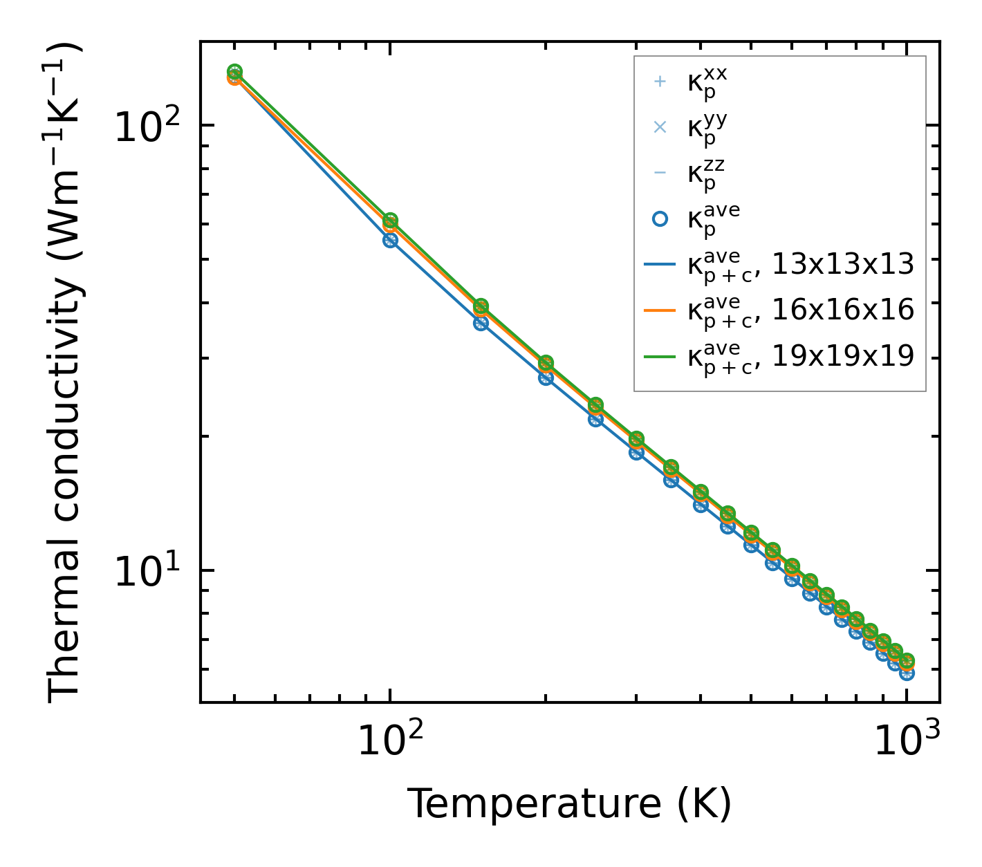
Thermal conductivity

3-phonon (LASSO) — q-mesh: 19x19x19, supercell: 2x2x2

../../_images/fig_kappa12256.png

(a) Temperature-dependent lattice thermal conductivity

../../_images/fig_kappa_vs_grain_size6590.png

(b) Peierls lattice thermal conductivity w.r.t grain size

Phonon lifetime and scattering rates

../../_images/fig_lifetime6447.png

(a) Phonon lifetime due to phonon-phonon scattering

../../_images/fig_scat_rates6446.png

(b) Phonon scattering rates

Cumulative and spectral thermal conductivity

../../_images/fig_cumu_frequency6447.png

(a) Spectral and cumulative thermal conductivity w.r.t frequency

../../_images/fig_cumu_mfp6446.png

(b) Spectral and cumulative thermal conductivity w.r.t MFP

Force constants

../../_images/fig_fc214783.png

(a) Force constants w.r.t atomic distance

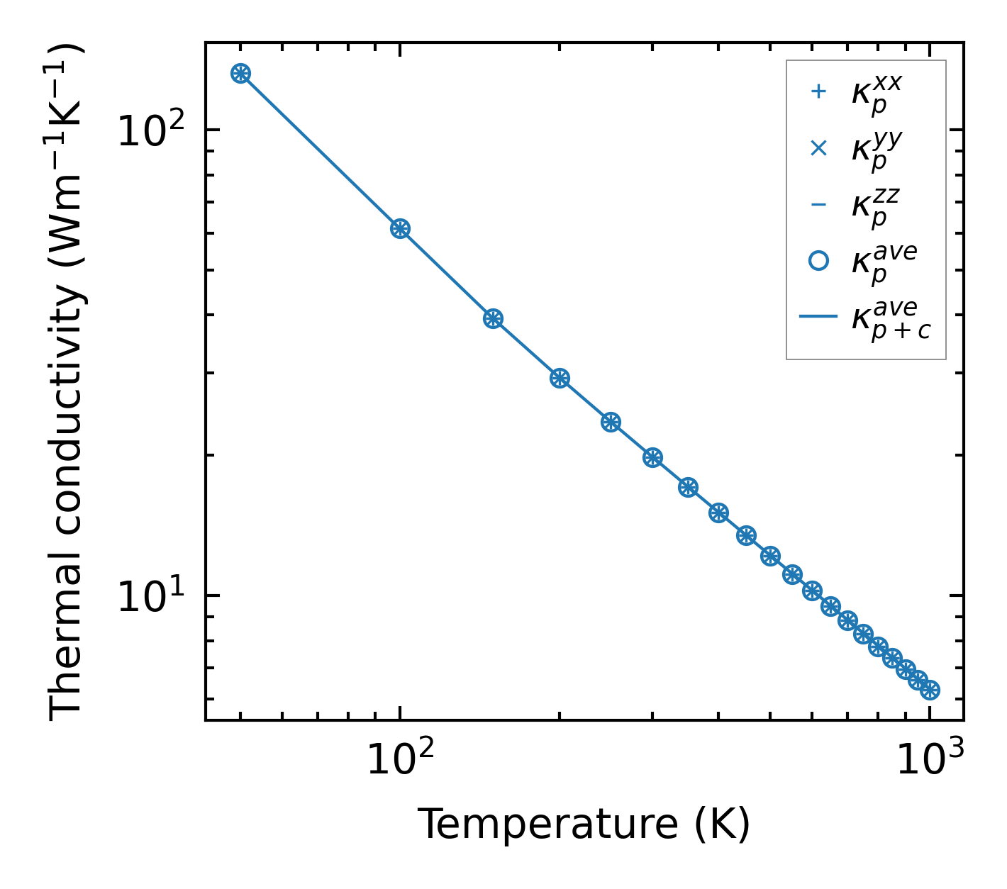
Summary

../../_images/fig_kappa12257.png

(a) Temperature-dependent lattice thermal conductivity

../../_images/fig_times25113.png

(b) Computation time