mp-13032-2/MgS/anharm

Equation of state

../../_images/fig_bm7543.png

(a) Equation of state

Harmonic properties

../../_images/fig_bandos_pr15171.png

(a) Phonon dispersion with participation ratio and DOS

../../_images/fig_thermo15170.png

(b) Thermodynamic properties

Grüneisen parameters

../../_images/fig_gru_all6515.png

(a) Grüneisen parameters

../../_images/fig_gruneisen6515.png

(b) Phonon dispersion with Grüneisen parameters

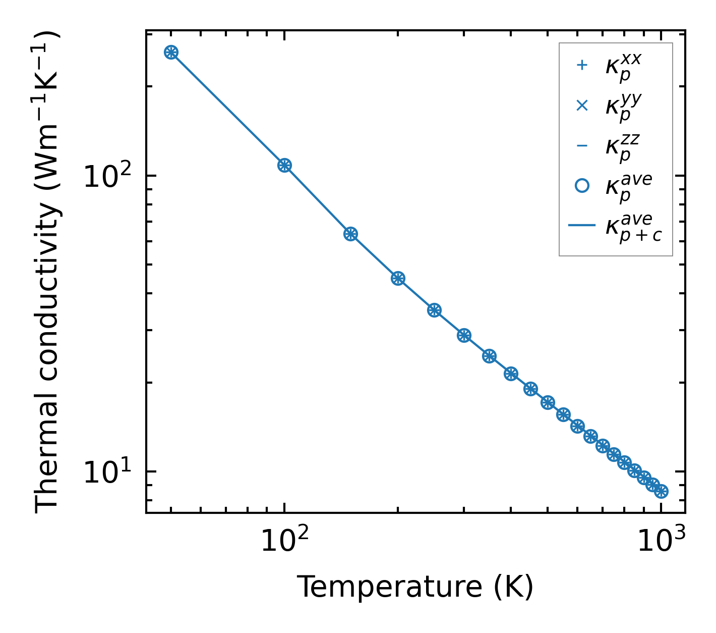
Thermal conductivity

3-phonon (LASSO) — q-mesh: 20x20x20, supercell: 2x2x2

../../_images/fig_kappa12260.png

(a) Temperature-dependent lattice thermal conductivity

../../_images/fig_kappa_vs_grain_size6592.png

(b) Peierls lattice thermal conductivity w.r.t grain size

Phonon lifetime and scattering rates

../../_images/fig_lifetime6449.png

(a) Phonon lifetime due to phonon-phonon scattering

../../_images/fig_scat_rates6448.png

(b) Phonon scattering rates

Cumulative and spectral thermal conductivity

../../_images/fig_cumu_frequency6449.png

(a) Spectral and cumulative thermal conductivity w.r.t frequency

../../_images/fig_cumu_mfp6448.png

(b) Spectral and cumulative thermal conductivity w.r.t MFP

Force constants

../../_images/fig_fc214784.png

(a) Force constants w.r.t atomic distance

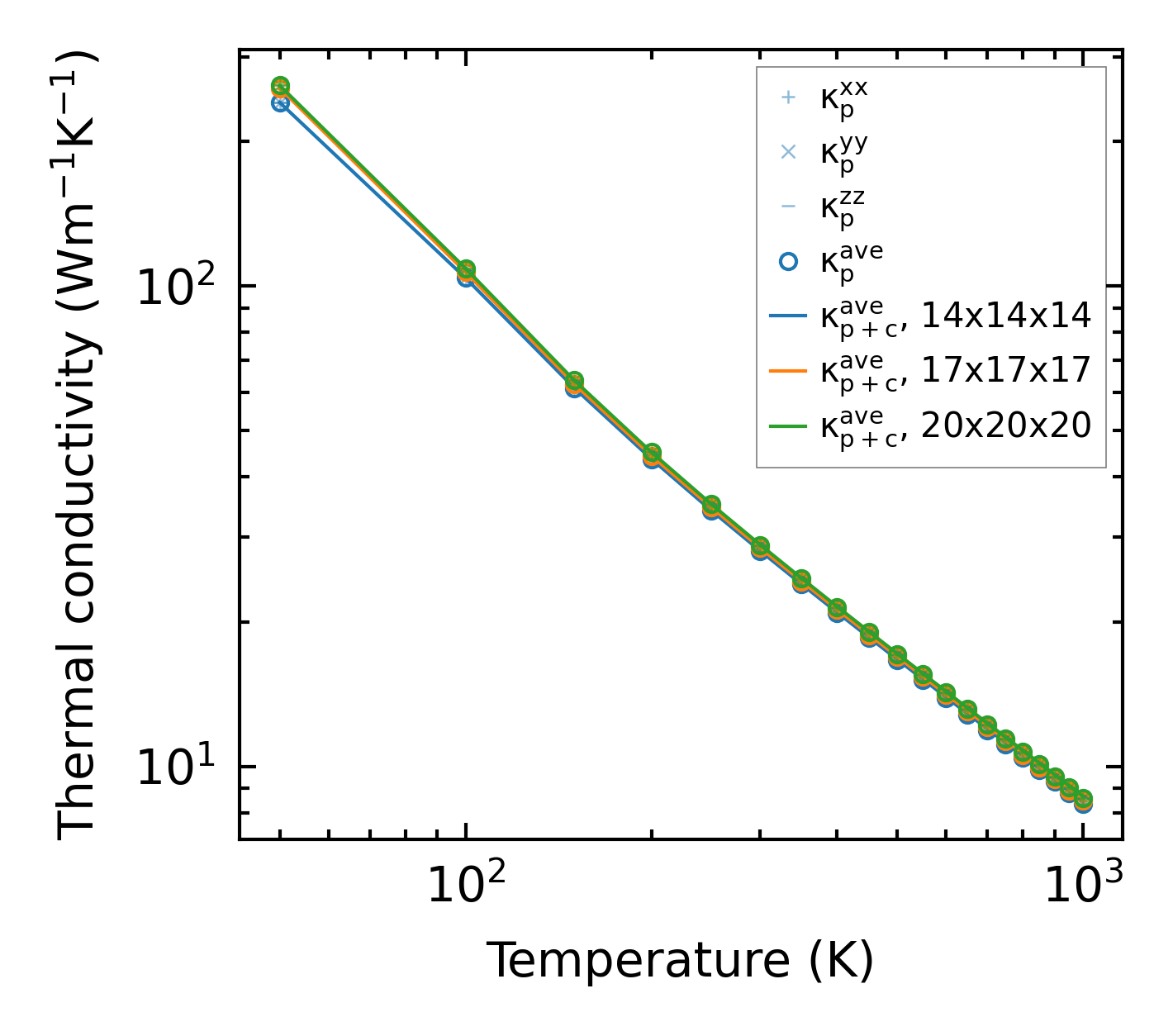
Summary

../../_images/fig_kappa12261.png

(a) Temperature-dependent lattice thermal conductivity

../../_images/fig_times25115.png

(b) Computation time