mp-13680-2/BaBOF3/anharm

Harmonic properties

../../_images/fig_bandos_pr14931.png

(a) Phonon dispersion with participation ratio and DOS

../../_images/fig_thermo14931.png

(b) Thermodynamic properties

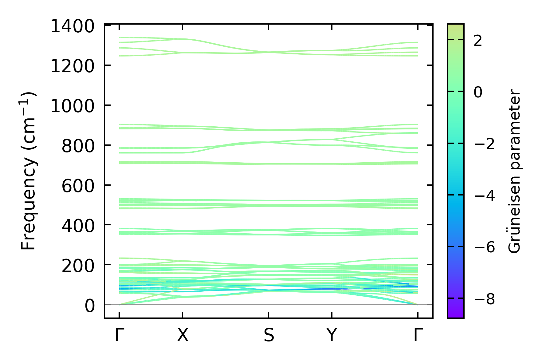
Grüneisen parameters

../../_images/fig_gru_all6409.png

(a) Grüneisen parameters

../../_images/fig_gruneisen6409.png

(b) Phonon dispersion with Grüneisen parameters

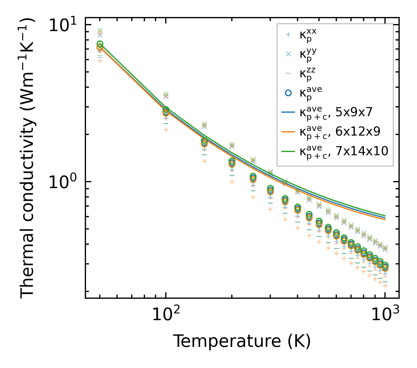
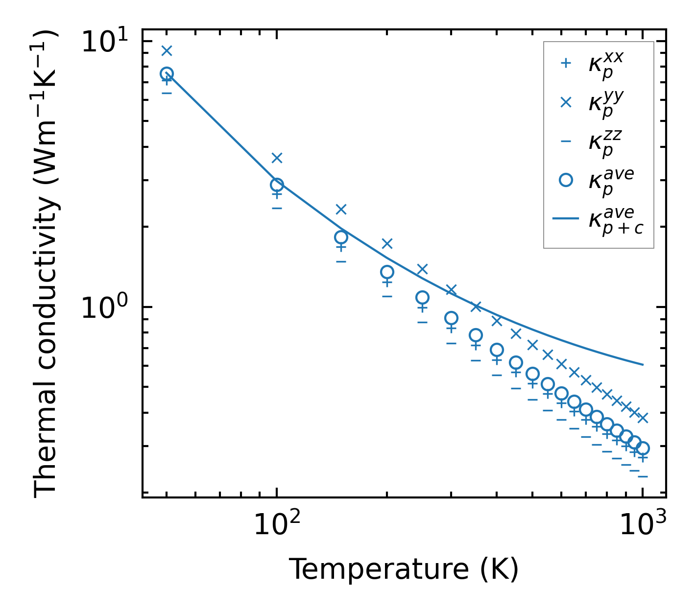
Thermal conductivity

3-phonon (LASSO) — q-mesh: 7x14x10, supercell: 1x2x2

../../_images/fig_kappa12053.png

(a) Temperature-dependent lattice thermal conductivity

../../_images/fig_kappa_vs_grain_size6486.png

(b) Peierls lattice thermal conductivity w.r.t grain size

Phonon lifetime and scattering rates

../../_images/fig_lifetime6343.png

(a) Phonon lifetime due to phonon-phonon scattering

../../_images/fig_scat_rates6342.png

(b) Phonon scattering rates

Cumulative and spectral thermal conductivity

../../_images/fig_cumu_frequency6343.png

(a) Spectral and cumulative thermal conductivity w.r.t frequency

../../_images/fig_cumu_mfp6342.png

(b) Spectral and cumulative thermal conductivity w.r.t MFP

Force constants

../../_images/fig_fc214548.png

(a) Force constants w.r.t atomic distance

Summary

../../_images/fig_kappa12054.png

(a) Temperature-dependent lattice thermal conductivity

../../_images/fig_times24750.png

(b) Computation time