mp-13948-2/Cs2HfF6/anharm

Equation of state

../../_images/fig_bm7526.png

(a) Equation of state

Harmonic properties

../../_images/fig_bandos_pr15002.png

(a) Phonon dispersion with participation ratio and DOS

../../_images/fig_bandos19359.png

(b) Phonon dispersion and DOS

../../_images/fig_thermo15001.png

(c) Thermodynamic properties

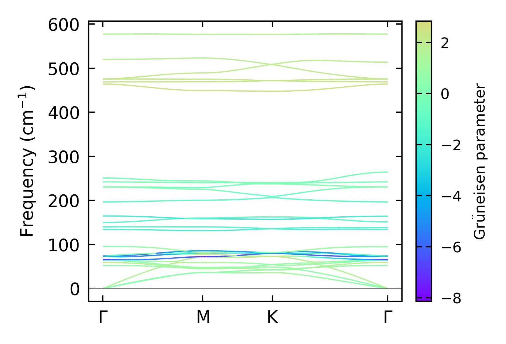
Grüneisen parameters

../../_images/fig_gru_all6443.png

(a) Grüneisen parameters

../../_images/fig_gruneisen6443.png

(b) Phonon dispersion with Grüneisen parameters

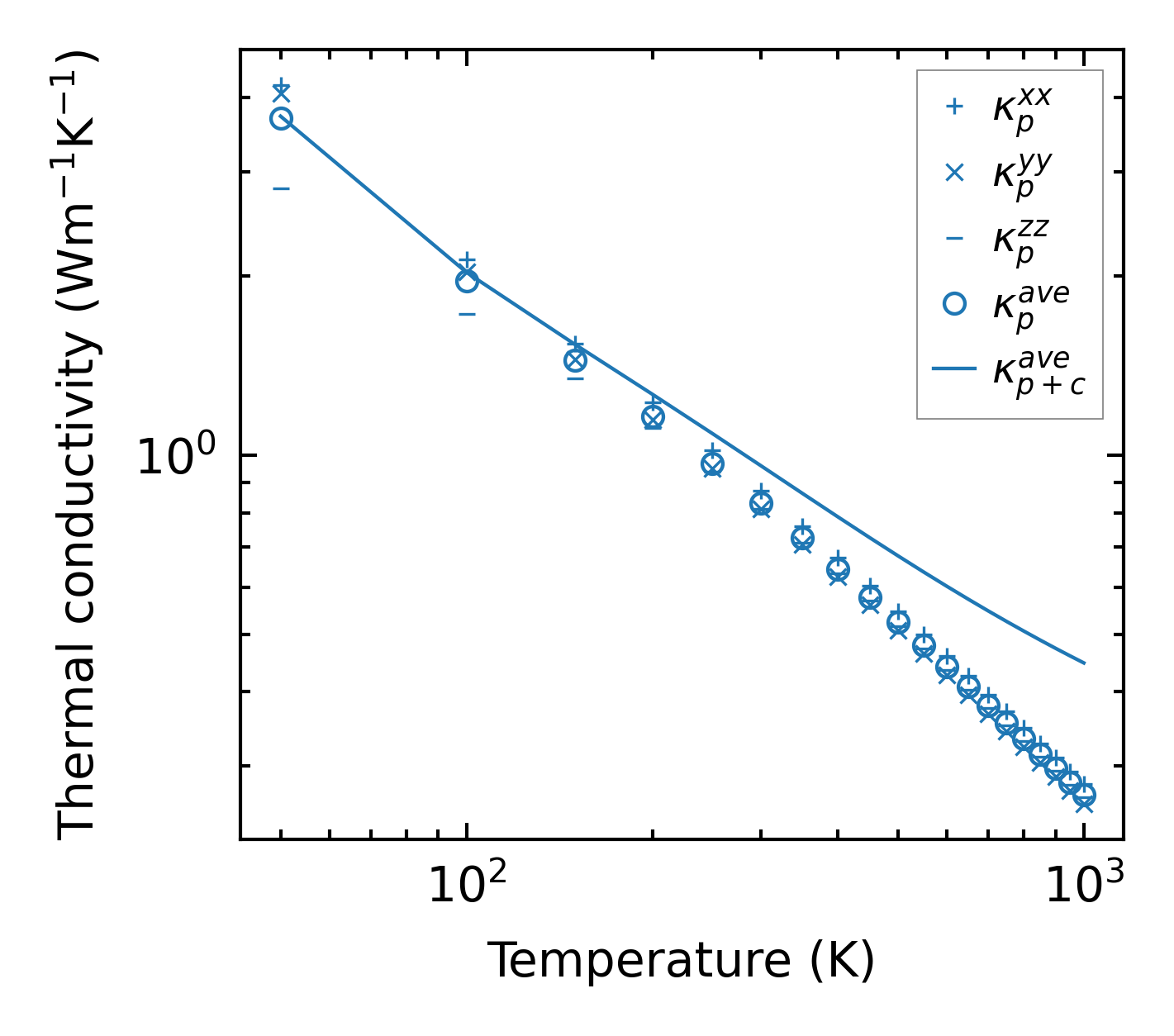
Thermal conductivity

3-phonon (LASSO) — q-mesh: 11x11x15, supercell: 2x2x3

../../_images/fig_kappa12117.png

(a) Temperature-dependent lattice thermal conductivity

../../_images/fig_kappa_vs_grain_size6520.png

(b) Peierls lattice thermal conductivity w.r.t grain size

Phonon lifetime and scattering rates

../../_images/fig_lifetime6377.png

(a) Phonon lifetime due to phonon-phonon scattering

../../_images/fig_scat_rates6376.png

(b) Phonon scattering rates

Cumulative and spectral thermal conductivity

../../_images/fig_cumu_frequency6377.png

(a) Spectral and cumulative thermal conductivity w.r.t frequency

../../_images/fig_cumu_mfp6376.png

(b) Spectral and cumulative thermal conductivity w.r.t MFP

Force constants

../../_images/fig_fc214619.png

(a) Force constants w.r.t atomic distance

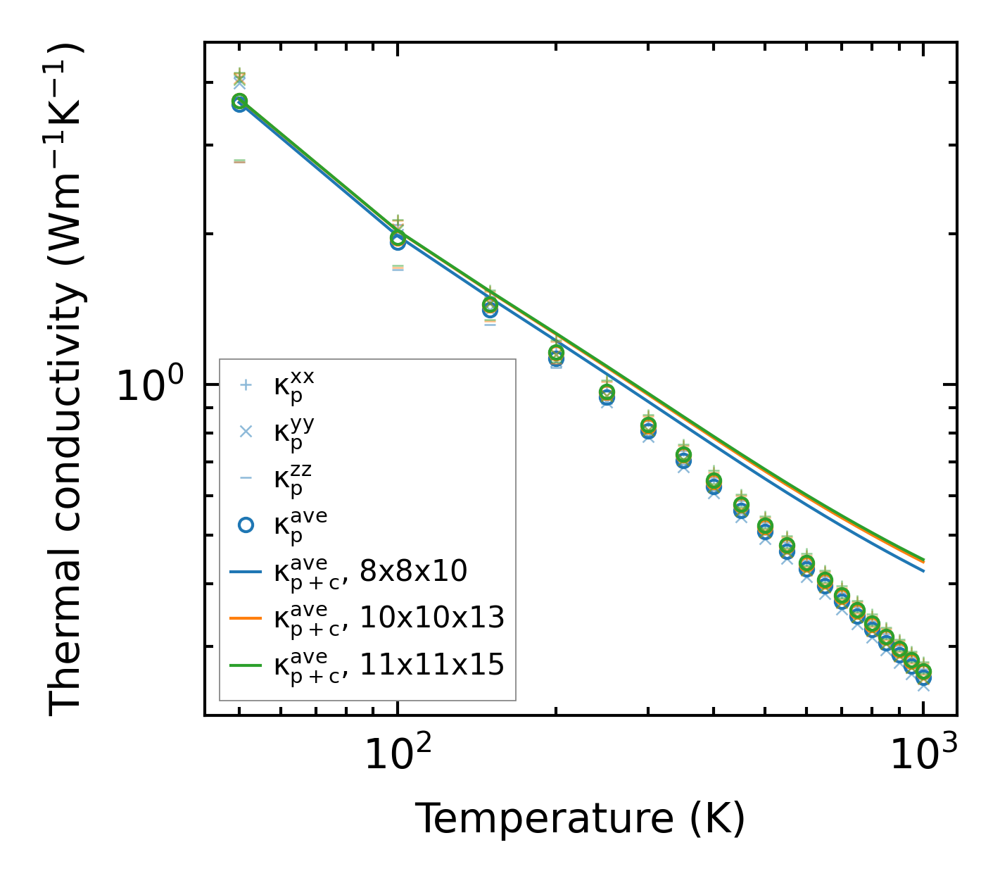
Summary

../../_images/fig_kappa12118.png

(a) Temperature-dependent lattice thermal conductivity

../../_images/fig_times24841.png

(b) Computation time