mp-13039-2/Tm2CN2O2/anharm

Equation of state

../../_images/fig_bm7545.png

(a) Equation of state

Harmonic properties

../../_images/fig_bandos_pr15176.png

(a) Phonon dispersion with participation ratio and DOS

../../_images/fig_thermo15175.png

(b) Thermodynamic properties

Grüneisen parameters

../../_images/fig_gru_all6520.png

(a) Grüneisen parameters

../../_images/fig_gruneisen6520.png

(b) Phonon dispersion with Grüneisen parameters

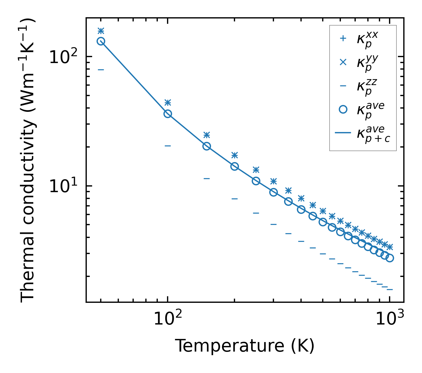
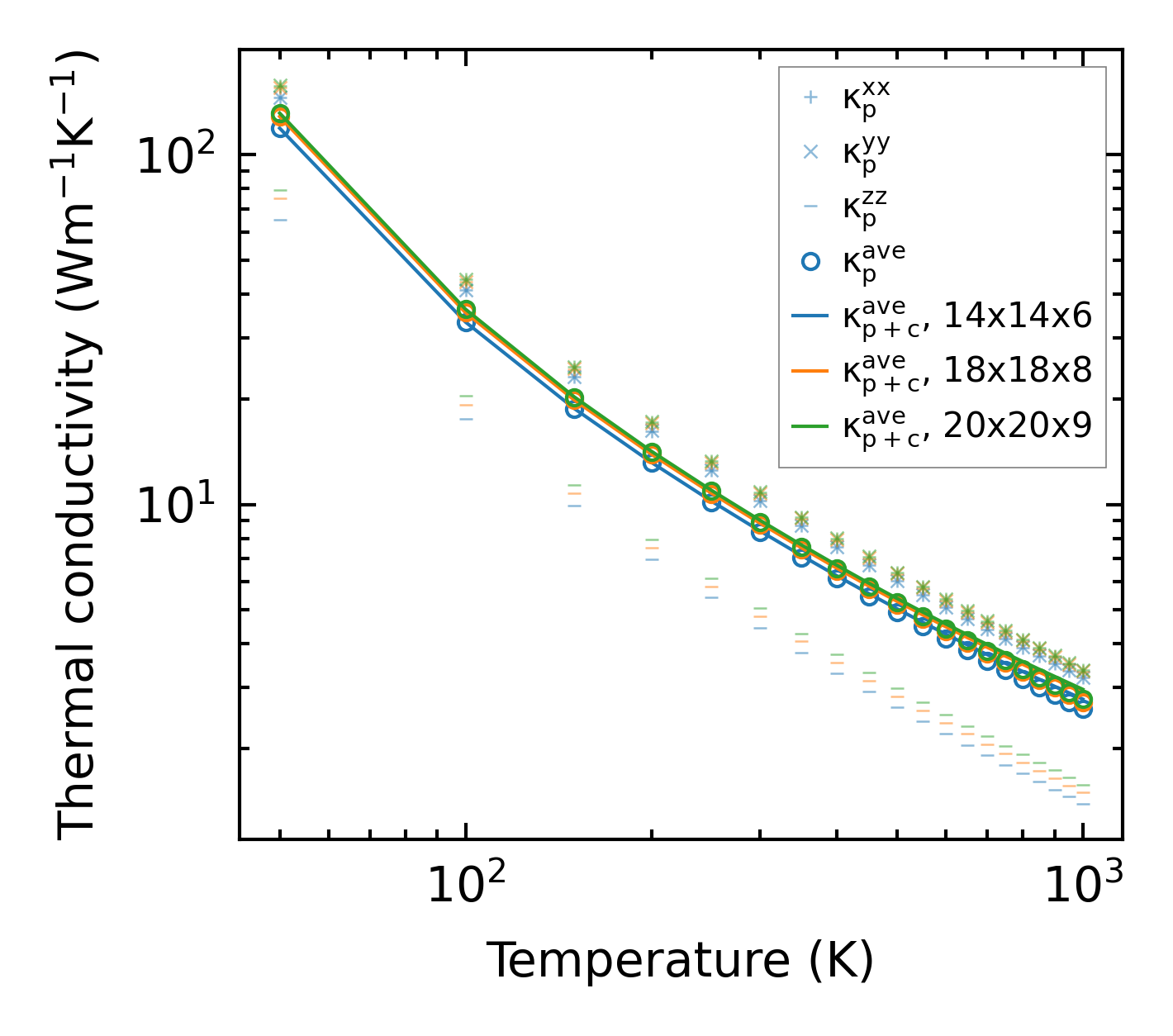
Thermal conductivity

3-phonon (LASSO) — q-mesh: 20x20x9, supercell: 3x3x2

../../_images/fig_kappa12270.png

(a) Temperature-dependent lattice thermal conductivity

../../_images/fig_kappa_vs_grain_size6597.png

(b) Peierls lattice thermal conductivity w.r.t grain size

Phonon lifetime and scattering rates

../../_images/fig_lifetime6454.png

(a) Phonon lifetime due to phonon-phonon scattering

../../_images/fig_scat_rates6453.png

(b) Phonon scattering rates

Cumulative and spectral thermal conductivity

../../_images/fig_cumu_frequency6454.png

(a) Spectral and cumulative thermal conductivity w.r.t frequency

../../_images/fig_cumu_mfp6453.png

(b) Spectral and cumulative thermal conductivity w.r.t MFP

Force constants

../../_images/fig_fc214788.png

(a) Force constants w.r.t atomic distance

Summary

../../_images/fig_kappa12271.png

(a) Temperature-dependent lattice thermal conductivity

../../_images/fig_times25120.png

(b) Computation time