mp-13385/TmAgP2Se6/anharm

Equation of state

../../_images/fig_bm7456.png

(a) Equation of state

Harmonic properties

../../_images/fig_bandos_pr14885.png

(a) Phonon dispersion with participation ratio and DOS

../../_images/fig_thermo14885.png

(b) Thermodynamic properties

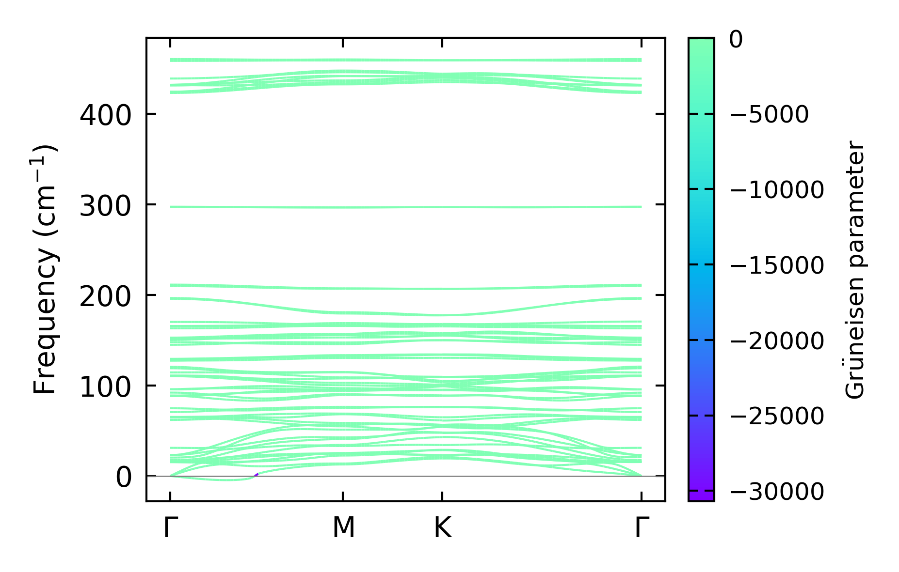
Grüneisen parameters

../../_images/fig_gru_all6389.png

(a) Grüneisen parameters

../../_images/fig_gruneisen6389.png

(b) Phonon dispersion with Grüneisen parameters

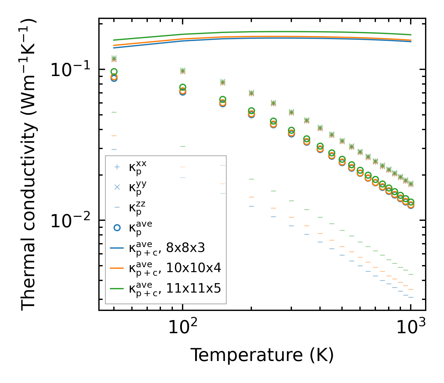
Thermal conductivity

3-phonon (LASSO) — q-mesh: 11x11x5, supercell: 2x2x1

../../_images/fig_kappa12014.png

(a) Temperature-dependent lattice thermal conductivity

../../_images/fig_kappa_vs_grain_size6465.png

(b) Peierls lattice thermal conductivity w.r.t grain size

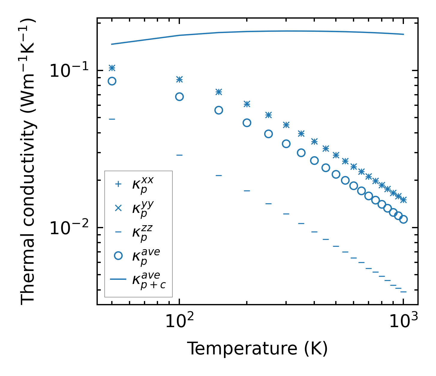
3-phonon (LASSO), supercell 3x3x1 — q-mesh: 11x11x5, supercell: 3x3x1

../../_images/fig_kappa12015.png

(a) Temperature-dependent lattice thermal conductivity

../../_images/fig_kappa_vs_grain_size6466.png

(b) Peierls lattice thermal conductivity w.r.t grain size

Phonon lifetime and scattering rates

../../_images/fig_lifetime6324.png

(a) Phonon lifetime due to phonon-phonon scattering

../../_images/fig_scat_rates6323.png

(b) Phonon scattering rates

Cumulative and spectral thermal conductivity

../../_images/fig_cumu_frequency6324.png

(a) Spectral and cumulative thermal conductivity w.r.t frequency

../../_images/fig_cumu_mfp6323.png

(b) Spectral and cumulative thermal conductivity w.r.t MFP

Force constants

../../_images/fig_fc214502.png

(a) Force constants w.r.t atomic distance

Summary

../../_images/fig_kappa12016.png

(a) Temperature-dependent lattice thermal conductivity

../../_images/fig_times24690.png

(b) Computation time