mp-13840/Ho3ScO6/anharm

Harmonic properties

../../_images/fig_bandos_pr14976.png

(a) Phonon dispersion with participation ratio and DOS

../../_images/fig_thermo14975.png

(b) Thermodynamic properties

Grüneisen parameters

../../_images/fig_gru_all6430.png

(a) Grüneisen parameters

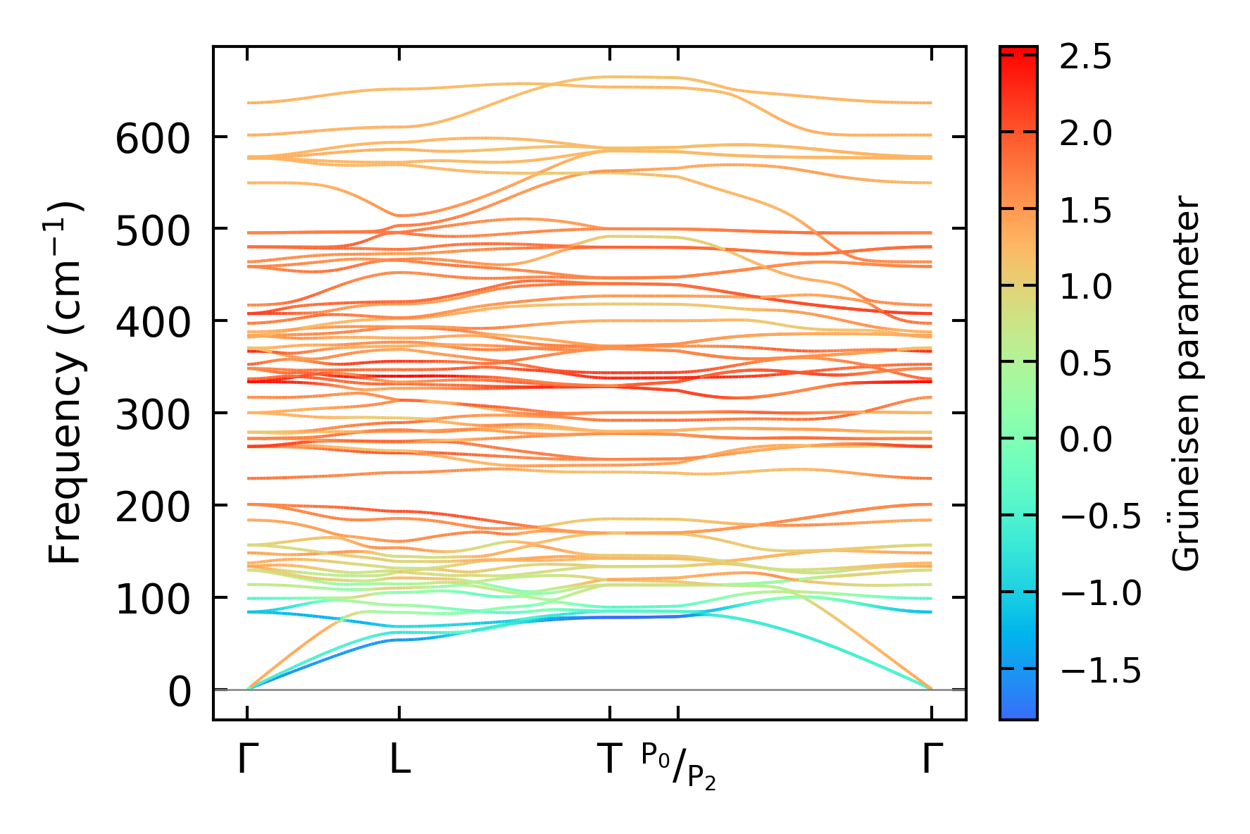
../../_images/fig_gruneisen6430.png

(b) Phonon dispersion with Grüneisen parameters

Thermal conductivity

3-phonon (LASSO) — q-mesh: 11x11x11, supercell: 1x1x1

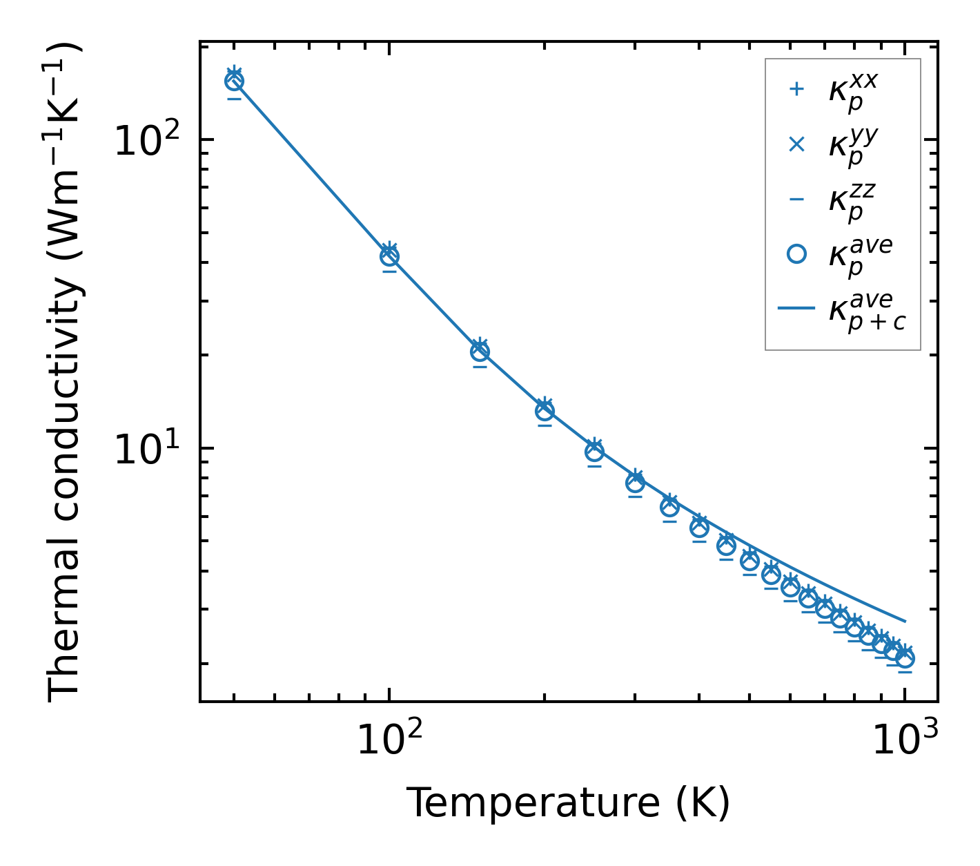
../../_images/fig_kappa12092.png

(a) Temperature-dependent lattice thermal conductivity

../../_images/fig_kappa_vs_grain_size6507.png

(b) Peierls lattice thermal conductivity w.r.t grain size

Phonon lifetime and scattering rates

../../_images/fig_lifetime6364.png

(a) Phonon lifetime due to phonon-phonon scattering

../../_images/fig_scat_rates6363.png

(b) Phonon scattering rates

Cumulative and spectral thermal conductivity

../../_images/fig_cumu_frequency6364.png

(a) Spectral and cumulative thermal conductivity w.r.t frequency

../../_images/fig_cumu_mfp6363.png

(b) Spectral and cumulative thermal conductivity w.r.t MFP

Force constants

../../_images/fig_fc214593.png

(a) Force constants w.r.t atomic distance

Summary

../../_images/fig_kappa12093.png

(a) Temperature-dependent lattice thermal conductivity

../../_images/fig_times24812.png

(b) Computation time