mp-13925/Cs2NaYF6/anharm

Equation of state

../../_images/fig_bm7521.png

(a) Equation of state

Harmonic properties

../../_images/fig_bandos_pr14993.png

(a) Phonon dispersion with participation ratio and DOS

../../_images/fig_thermo14992.png

(b) Thermodynamic properties

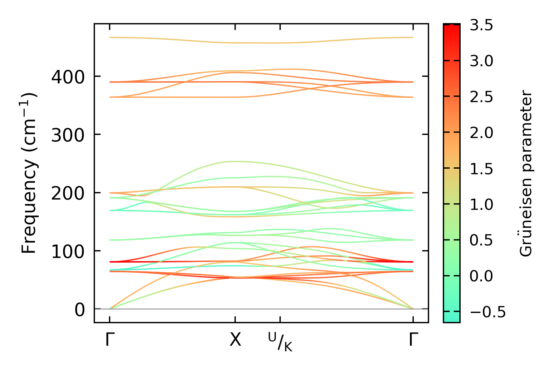
Grüneisen parameters

../../_images/fig_gru_all6438.png

(a) Grüneisen parameters

../../_images/fig_gruneisen6438.png

(b) Phonon dispersion with Grüneisen parameters

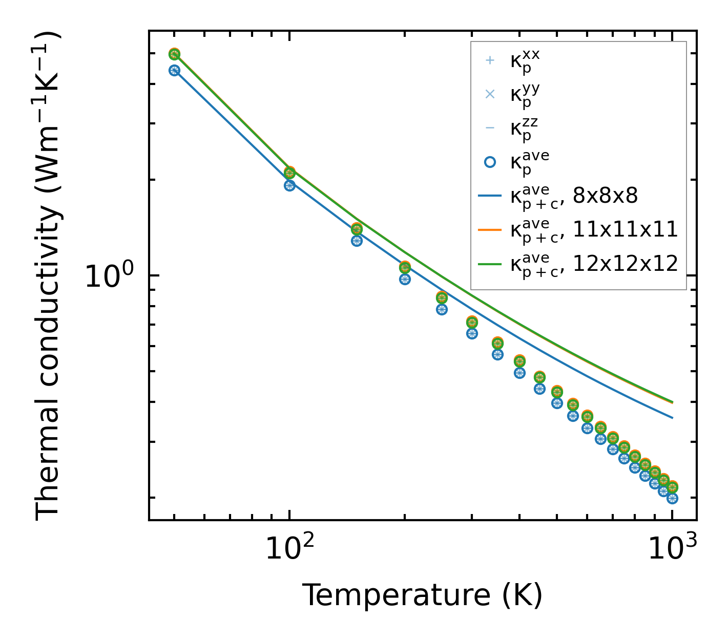
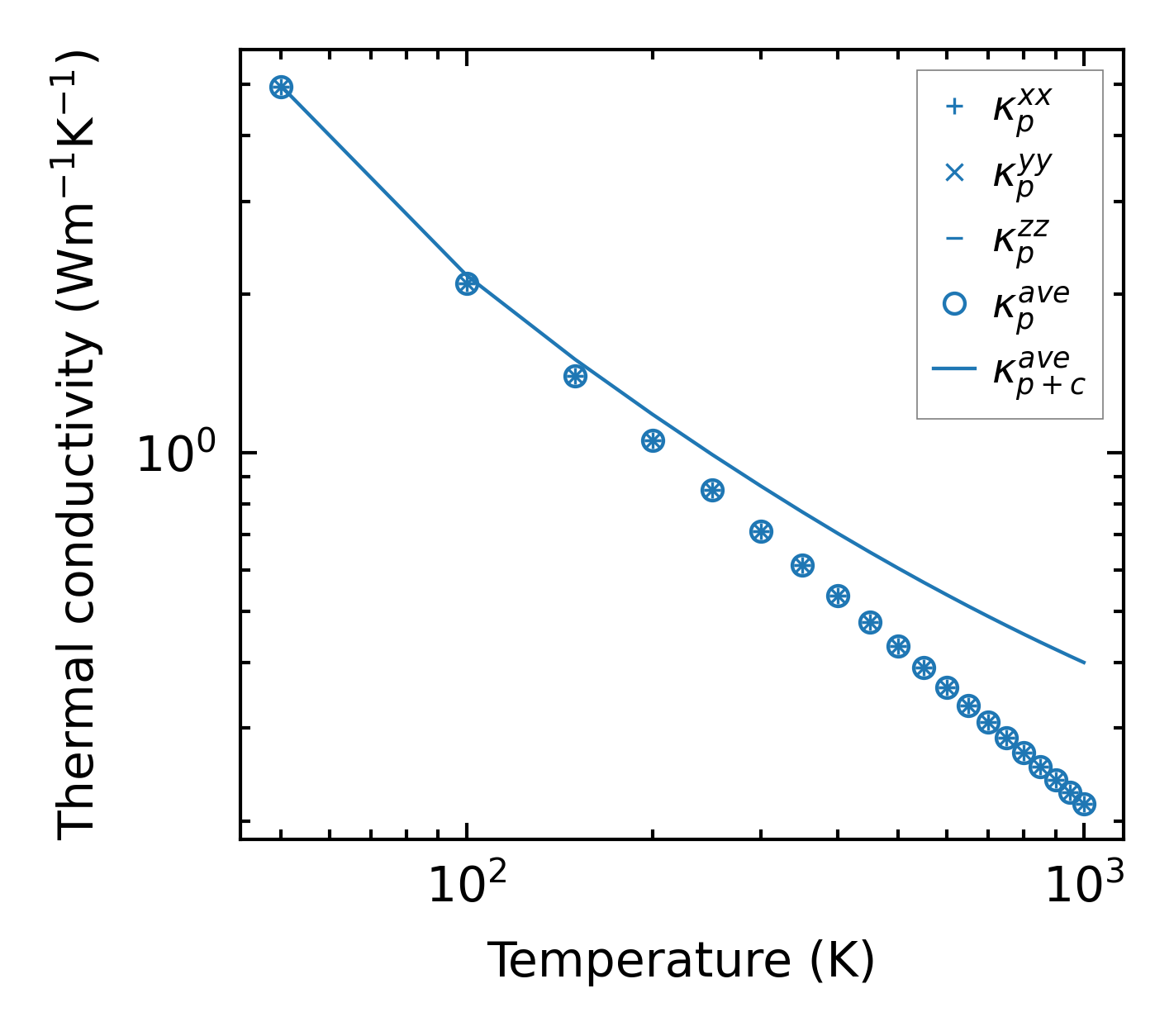
Thermal conductivity

3-phonon (LASSO) — q-mesh: 12x12x12, supercell: 1x1x1

../../_images/fig_kappa12107.png

(a) Temperature-dependent lattice thermal conductivity

../../_images/fig_kappa_vs_grain_size6515.png

(b) Peierls lattice thermal conductivity w.r.t grain size

Phonon lifetime and scattering rates

../../_images/fig_lifetime6372.png

(a) Phonon lifetime due to phonon-phonon scattering

../../_images/fig_scat_rates6371.png

(b) Phonon scattering rates

Cumulative and spectral thermal conductivity

../../_images/fig_cumu_frequency6372.png

(a) Spectral and cumulative thermal conductivity w.r.t frequency

../../_images/fig_cumu_mfp6371.png

(b) Spectral and cumulative thermal conductivity w.r.t MFP

Force constants

../../_images/fig_fc214610.png

(a) Force constants w.r.t atomic distance

Summary

../../_images/fig_kappa12108.png

(a) Temperature-dependent lattice thermal conductivity

../../_images/fig_times24832.png

(b) Computation time