mp-13758-3/Nd4Re2O11/anharm

Equation of state

../../_images/fig_bm7495.png

(a) Equation of state

Harmonic properties

../../_images/fig_bandos_pr14948.png

(a) Phonon dispersion with participation ratio and DOS

../../_images/fig_thermo14947.png

(b) Thermodynamic properties

Grüneisen parameters

../../_images/fig_gru_all6415.png

(a) Grüneisen parameters

../../_images/fig_gruneisen6415.png

(b) Phonon dispersion with Grüneisen parameters

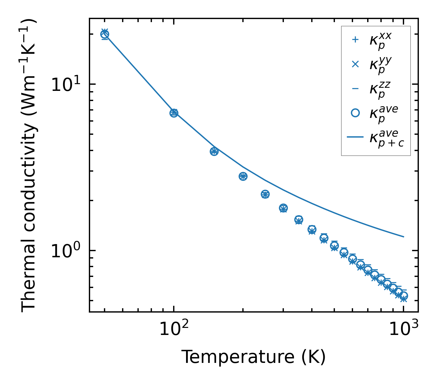
Thermal conductivity

3-phonon (LASSO) — q-mesh: 5x5x12, supercell: 1x1x2

../../_images/fig_kappa12063.png

(a) Temperature-dependent lattice thermal conductivity

../../_images/fig_kappa_vs_grain_size6492.png

(b) Peierls lattice thermal conductivity w.r.t grain size

Phonon lifetime and scattering rates

../../_images/fig_lifetime6349.png

(a) Phonon lifetime due to phonon-phonon scattering

../../_images/fig_scat_rates6348.png

(b) Phonon scattering rates

Cumulative and spectral thermal conductivity

../../_images/fig_cumu_frequency6349.png

(a) Spectral and cumulative thermal conductivity w.r.t frequency

../../_images/fig_cumu_mfp6348.png

(b) Spectral and cumulative thermal conductivity w.r.t MFP

Force constants

../../_images/fig_fc214565.png

(a) Force constants w.r.t atomic distance

Summary

../../_images/fig_kappa12064.png

(a) Temperature-dependent lattice thermal conductivity

../../_images/fig_times24777.png

(b) Computation time