mp-13589-2/CuBC4N4/anharm

Equation of state

../../_images/fig_bm7466.png

(a) Equation of state

Harmonic properties

../../_images/fig_bandos_pr14902.png

(a) Phonon dispersion with participation ratio and DOS

../../_images/fig_thermo14902.png

(b) Thermodynamic properties

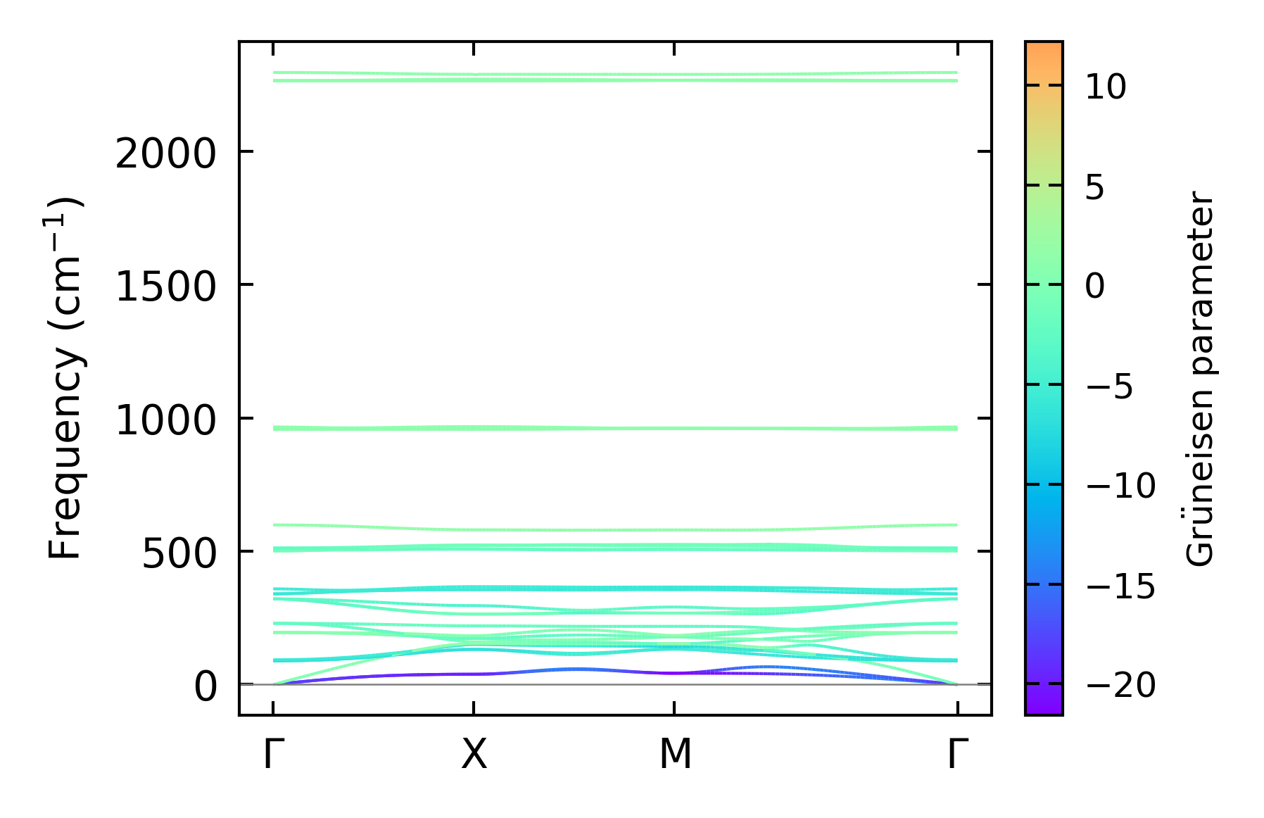
Grüneisen parameters

../../_images/fig_gru_all6397.png

(a) Grüneisen parameters

../../_images/fig_gruneisen6397.png

(b) Phonon dispersion with Grüneisen parameters

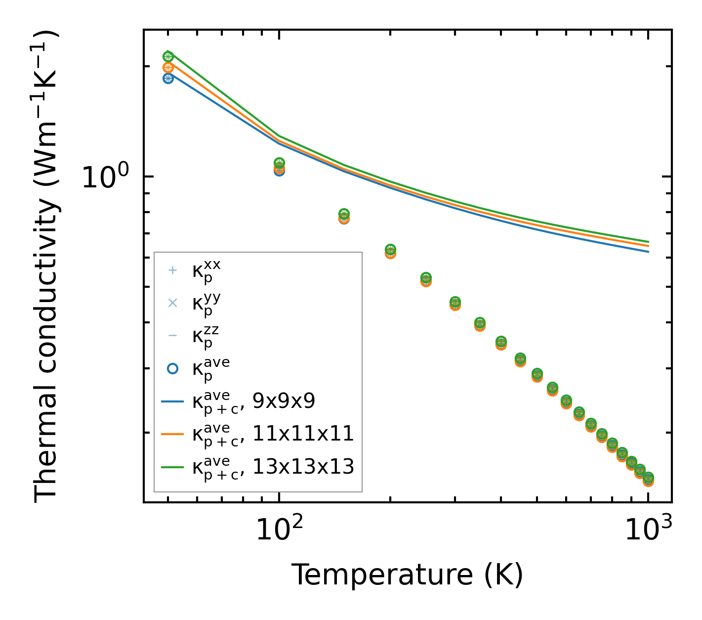
Thermal conductivity

3-phonon (LASSO) — q-mesh: 13x13x13, supercell: 2x2x2

../../_images/fig_kappa12031.png

(a) Temperature-dependent lattice thermal conductivity

../../_images/fig_kappa_vs_grain_size6474.png

(b) Peierls lattice thermal conductivity w.r.t grain size

Phonon lifetime and scattering rates

../../_images/fig_lifetime6332.png

(a) Phonon lifetime due to phonon-phonon scattering

../../_images/fig_scat_rates6331.png

(b) Phonon scattering rates

Cumulative and spectral thermal conductivity

../../_images/fig_cumu_frequency6332.png

(a) Spectral and cumulative thermal conductivity w.r.t frequency

../../_images/fig_cumu_mfp6331.png

(b) Spectral and cumulative thermal conductivity w.r.t MFP

Force constants

../../_images/fig_fc214519.png

(a) Force constants w.r.t atomic distance

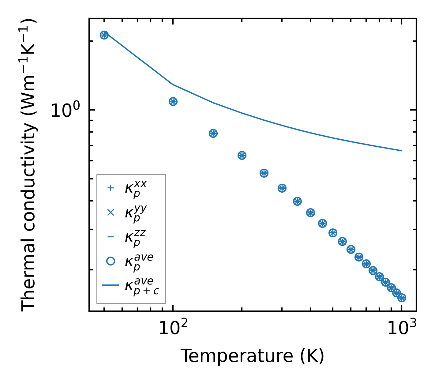
Summary

../../_images/fig_kappa12032.png

(a) Temperature-dependent lattice thermal conductivity

../../_images/fig_times24713.png

(b) Computation time