mp-13445/Rb2As2Pt/anharm

Harmonic properties

../../_images/fig_bandos_pr14887.png

(a) Phonon dispersion with participation ratio and DOS

../../_images/fig_thermo14887.png

(b) Thermodynamic properties

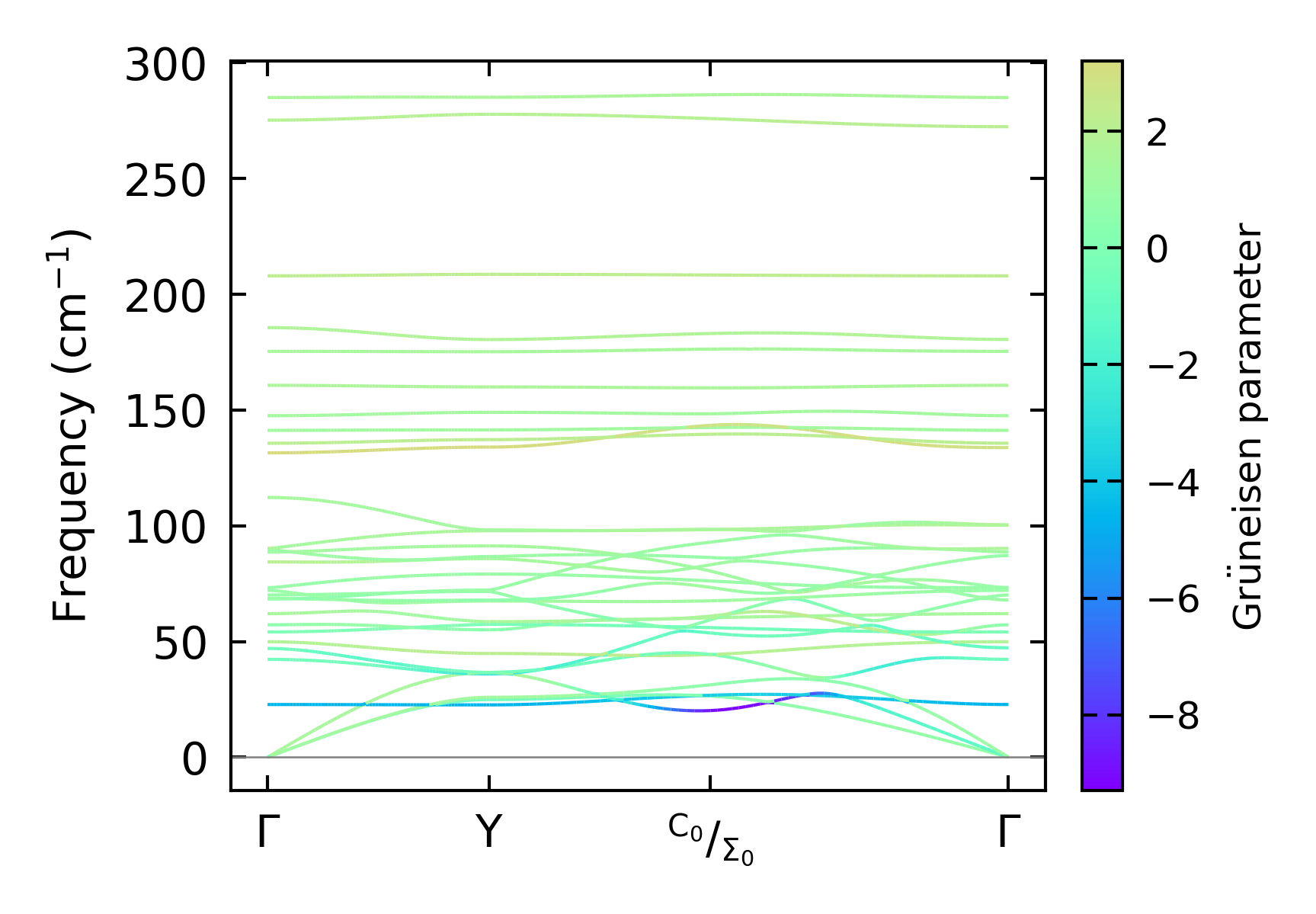
Grüneisen parameters

../../_images/fig_gru_all6390.png

(a) Grüneisen parameters

../../_images/fig_gruneisen6390.png

(b) Phonon dispersion with Grüneisen parameters

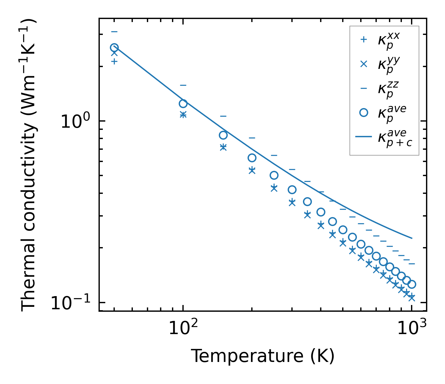
Thermal conductivity

3-phonon (LASSO) — q-mesh: 9x9x12, supercell: 2x1x3

../../_images/fig_kappa12017.png

(a) Temperature-dependent lattice thermal conductivity

../../_images/fig_kappa_vs_grain_size6467.png

(b) Peierls lattice thermal conductivity w.r.t grain size

Phonon lifetime and scattering rates

../../_images/fig_lifetime6325.png

(a) Phonon lifetime due to phonon-phonon scattering

../../_images/fig_scat_rates6324.png

(b) Phonon scattering rates

Cumulative and spectral thermal conductivity

../../_images/fig_cumu_frequency6325.png

(a) Spectral and cumulative thermal conductivity w.r.t frequency

../../_images/fig_cumu_mfp6324.png

(b) Spectral and cumulative thermal conductivity w.r.t MFP

Force constants

../../_images/fig_fc214504.png

(a) Force constants w.r.t atomic distance

Summary

../../_images/fig_kappa12018.png

(a) Temperature-dependent lattice thermal conductivity

../../_images/fig_times24692.png

(b) Computation time