mp-13971-2/Nd2SeO2/anharm

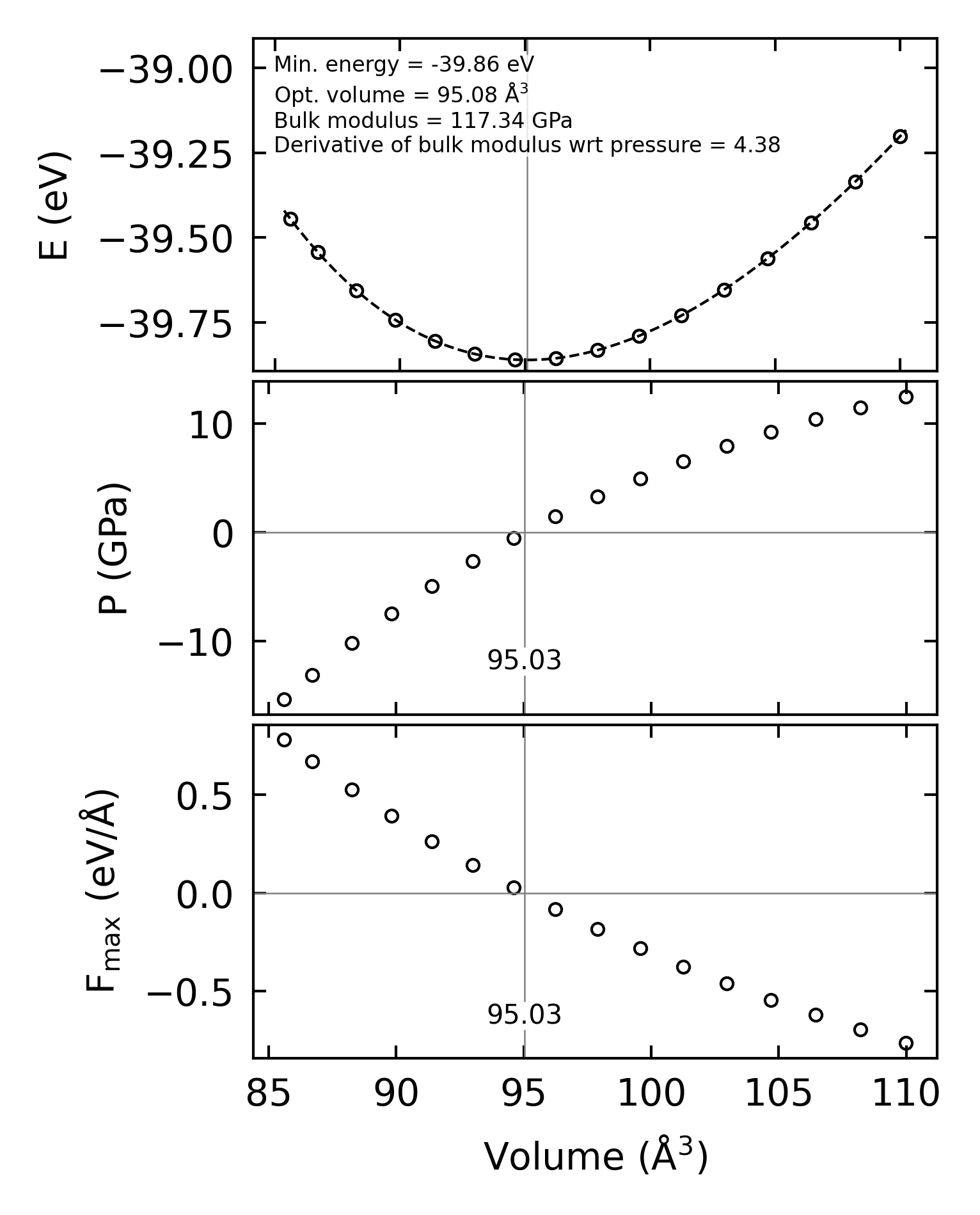
Equation of state

../../_images/fig_bm7530.png

(a) Equation of state

Harmonic properties

../../_images/fig_bandos_pr15011.png

(a) Phonon dispersion with participation ratio and DOS

../../_images/fig_thermo15010.png

(b) Thermodynamic properties

Grüneisen parameters

../../_images/fig_gru_all6446.png

(a) Grüneisen parameters

../../_images/fig_gruneisen6446.png

(b) Phonon dispersion with Grüneisen parameters

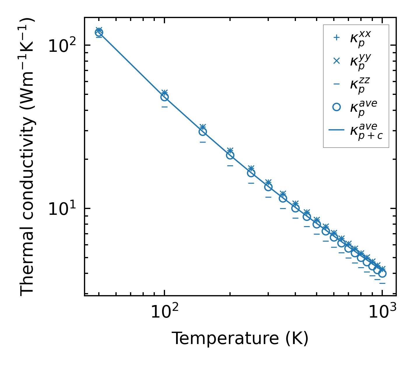
Thermal conductivity

3-phonon (LASSO) — q-mesh: 19x19x10, supercell: 3x3x2

../../_images/fig_kappa12122.png

(a) Temperature-dependent lattice thermal conductivity

../../_images/fig_kappa_vs_grain_size6523.png

(b) Peierls lattice thermal conductivity w.r.t grain size

Phonon lifetime and scattering rates

../../_images/fig_lifetime6380.png

(a) Phonon lifetime due to phonon-phonon scattering

../../_images/fig_scat_rates6379.png

(b) Phonon scattering rates

Cumulative and spectral thermal conductivity

../../_images/fig_cumu_frequency6380.png

(a) Spectral and cumulative thermal conductivity w.r.t frequency

../../_images/fig_cumu_mfp6379.png

(b) Spectral and cumulative thermal conductivity w.r.t MFP

Force constants

../../_images/fig_fc214628.png

(a) Force constants w.r.t atomic distance

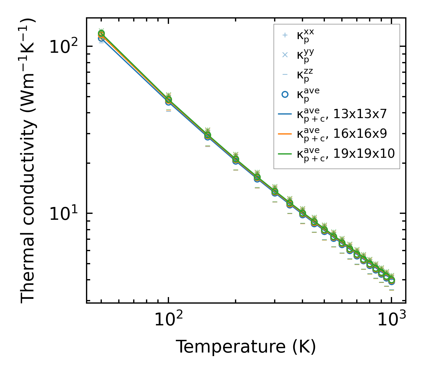
Summary

../../_images/fig_kappa12123.png

(a) Temperature-dependent lattice thermal conductivity

../../_images/fig_times24850.png

(b) Computation time