mp-13282/SmEr3Se6/anharm

Equation of state

../../_images/fig_bm7443.png

(a) Equation of state

Harmonic properties

../../_images/fig_bandos_pr14861.png

(a) Phonon dispersion with participation ratio and DOS

../../_images/fig_thermo14861.png

(b) Thermodynamic properties

Grüneisen parameters

../../_images/fig_gru_all6371.png

(a) Grüneisen parameters

../../_images/fig_gruneisen6371.png

(b) Phonon dispersion with Grüneisen parameters

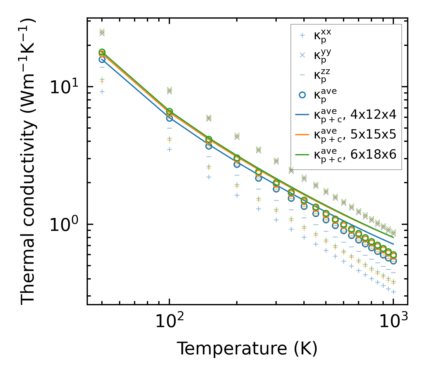
Thermal conductivity

3-phonon (LASSO) — q-mesh: 6x18x6, supercell: 2x3x1

../../_images/fig_kappa11982.png

(a) Temperature-dependent lattice thermal conductivity

../../_images/fig_kappa_vs_grain_size6447.png

(b) Peierls lattice thermal conductivity w.r.t grain size

Phonon lifetime and scattering rates

../../_images/fig_lifetime6306.png

(a) Phonon lifetime due to phonon-phonon scattering

../../_images/fig_scat_rates6305.png

(b) Phonon scattering rates

Cumulative and spectral thermal conductivity

../../_images/fig_cumu_frequency6306.png

(a) Spectral and cumulative thermal conductivity w.r.t frequency

../../_images/fig_cumu_mfp6305.png

(b) Spectral and cumulative thermal conductivity w.r.t MFP

Force constants

../../_images/fig_fc214479.png

(a) Force constants w.r.t atomic distance

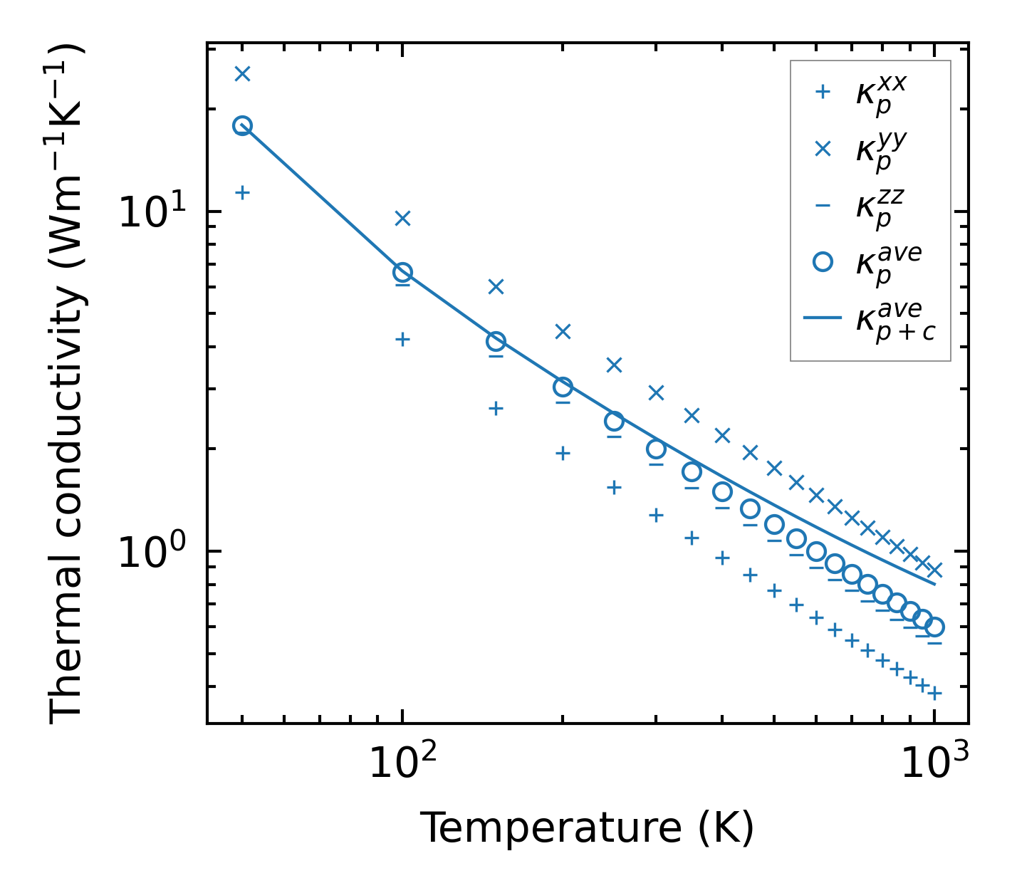
Summary

../../_images/fig_kappa11983.png

(a) Temperature-dependent lattice thermal conductivity

../../_images/fig_times24662.png

(b) Computation time