mp-13530/SmAsO4/anharm

Harmonic properties

../../_images/fig_bandos_pr14890.png

(a) Phonon dispersion with participation ratio and DOS

../../_images/fig_thermo14890.png

(b) Thermodynamic properties

Grüneisen parameters

../../_images/fig_gru_all6391.png

(a) Grüneisen parameters

../../_images/fig_gruneisen6391.png

(b) Phonon dispersion with Grüneisen parameters

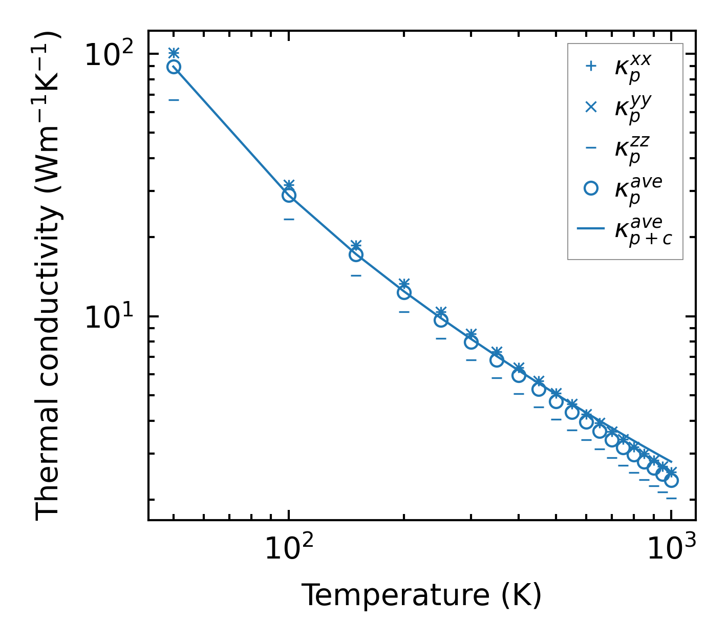
Thermal conductivity

3-phonon (LASSO) — q-mesh: 13x13x13, supercell: 2x2x1

../../_images/fig_kappa12019.png

(a) Temperature-dependent lattice thermal conductivity

../../_images/fig_kappa_vs_grain_size6468.png

(b) Peierls lattice thermal conductivity w.r.t grain size

Phonon lifetime and scattering rates

../../_images/fig_lifetime6326.png

(a) Phonon lifetime due to phonon-phonon scattering

../../_images/fig_scat_rates6325.png

(b) Phonon scattering rates

Cumulative and spectral thermal conductivity

../../_images/fig_cumu_frequency6326.png

(a) Spectral and cumulative thermal conductivity w.r.t frequency

../../_images/fig_cumu_mfp6325.png

(b) Spectral and cumulative thermal conductivity w.r.t MFP

Force constants

../../_images/fig_fc214507.png

(a) Force constants w.r.t atomic distance

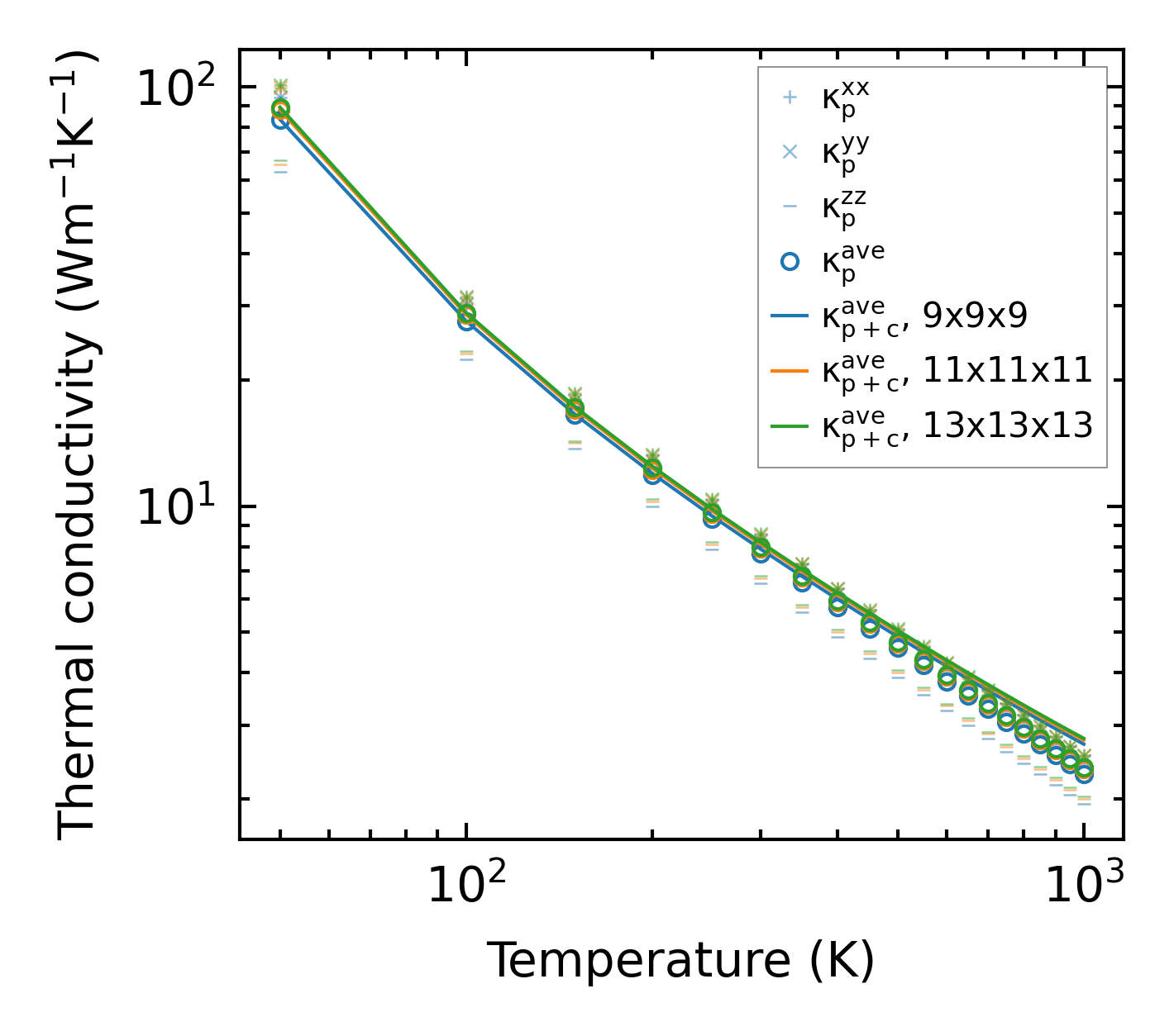
Summary

../../_images/fig_kappa12020.png

(a) Temperature-dependent lattice thermal conductivity

../../_images/fig_times24696.png

(b) Computation time