mp-13682-2/PdS2/anharm

Equation of state

../../_images/fig_bm7483.png

(a) Equation of state

Harmonic properties

../../_images/fig_bandos_pr14932.png

(a) Phonon dispersion with participation ratio and DOS

../../_images/fig_bandos19295.png

(b) Phonon dispersion and DOS

../../_images/fig_thermo14932.png

(c) Thermodynamic properties

Grüneisen parameters

../../_images/fig_gru_all6410.png

(a) Grüneisen parameters

../../_images/fig_gruneisen6410.png

(b) Phonon dispersion with Grüneisen parameters

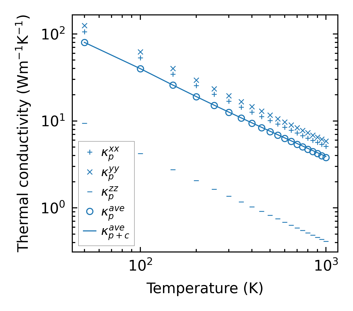
Thermal conductivity

3-phonon (LASSO), supercell 3x3x2 — q-mesh: 13x12x9, supercell: 3x3x2

../../_images/fig_kappa12055.png

(a) Temperature-dependent lattice thermal conductivity

../../_images/fig_kappa_vs_grain_size6487.png

(b) Peierls lattice thermal conductivity w.r.t grain size

Phonon lifetime and scattering rates

../../_images/fig_lifetime6344.png

(a) Phonon lifetime due to phonon-phonon scattering

../../_images/fig_scat_rates6343.png

(b) Phonon scattering rates

Cumulative and spectral thermal conductivity

../../_images/fig_cumu_frequency6344.png

(a) Spectral and cumulative thermal conductivity w.r.t frequency

../../_images/fig_cumu_mfp6343.png

(b) Spectral and cumulative thermal conductivity w.r.t MFP

Force constants

../../_images/fig_fc214549.png

(a) Force constants w.r.t atomic distance

Summary

../../_images/fig_times24752.png

(a) Computation time