mp-13985-2/Li2PdF6/anharm

Equation of state

../../_images/fig_bm7537.png

(a) Equation of state

Harmonic properties

../../_images/fig_bandos_pr15026.png

(a) Phonon dispersion with participation ratio and DOS

../../_images/fig_thermo15025.png

(b) Thermodynamic properties

Grüneisen parameters

../../_images/fig_gru_all6457.png

(a) Grüneisen parameters

../../_images/fig_gruneisen6457.png

(b) Phonon dispersion with Grüneisen parameters

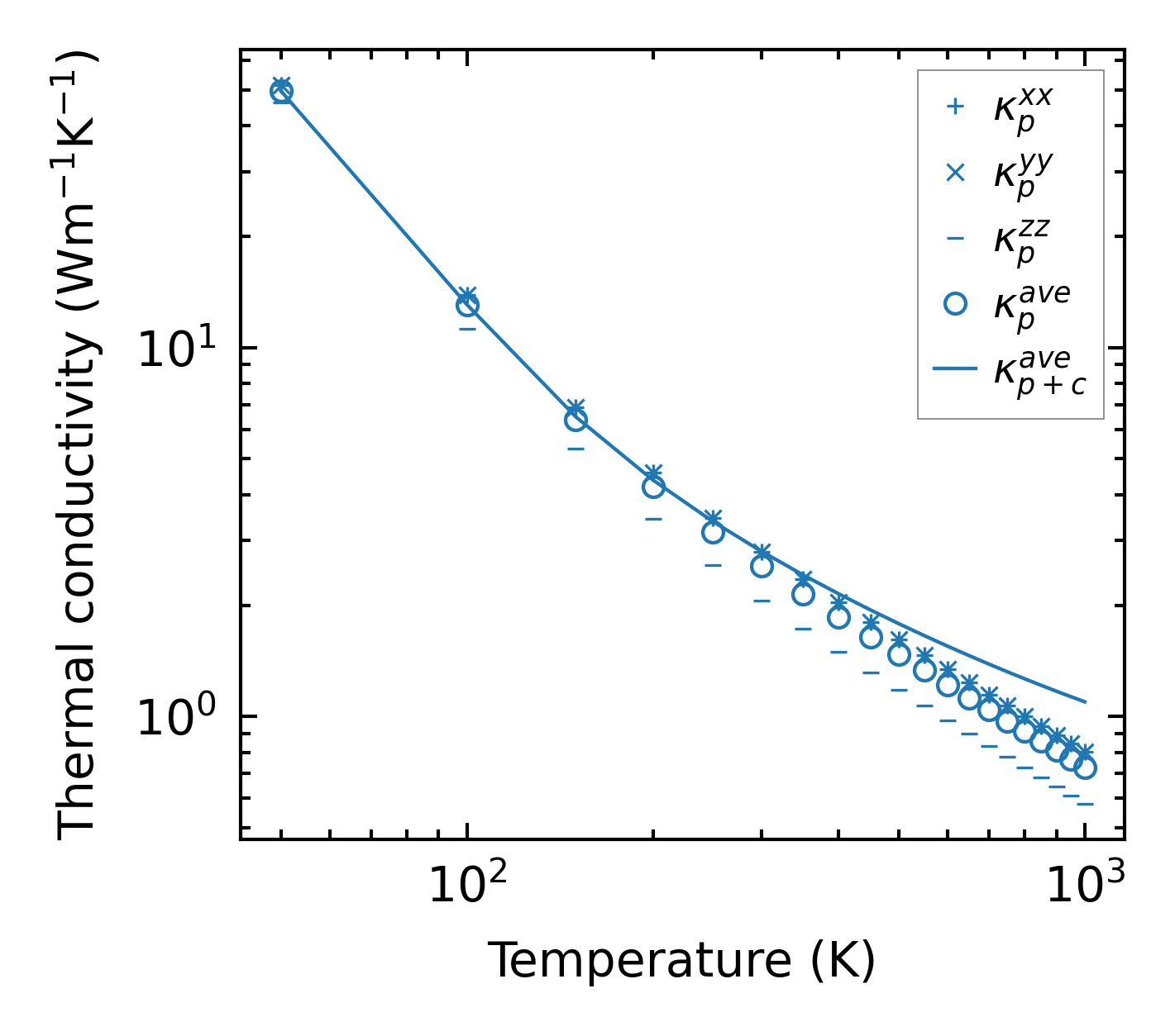
Thermal conductivity

3-phonon (LASSO) — q-mesh: 15x15x7, supercell: 2x2x2

../../_images/fig_kappa12144.png

(a) Temperature-dependent lattice thermal conductivity

../../_images/fig_kappa_vs_grain_size6534.png

(b) Peierls lattice thermal conductivity w.r.t grain size

Phonon lifetime and scattering rates

../../_images/fig_lifetime6391.png

(a) Phonon lifetime due to phonon-phonon scattering

../../_images/fig_scat_rates6390.png

(b) Phonon scattering rates

Cumulative and spectral thermal conductivity

../../_images/fig_cumu_frequency6391.png

(a) Spectral and cumulative thermal conductivity w.r.t frequency

../../_images/fig_cumu_mfp6390.png

(b) Spectral and cumulative thermal conductivity w.r.t MFP

Force constants

../../_images/fig_fc214643.png

(a) Force constants w.r.t atomic distance

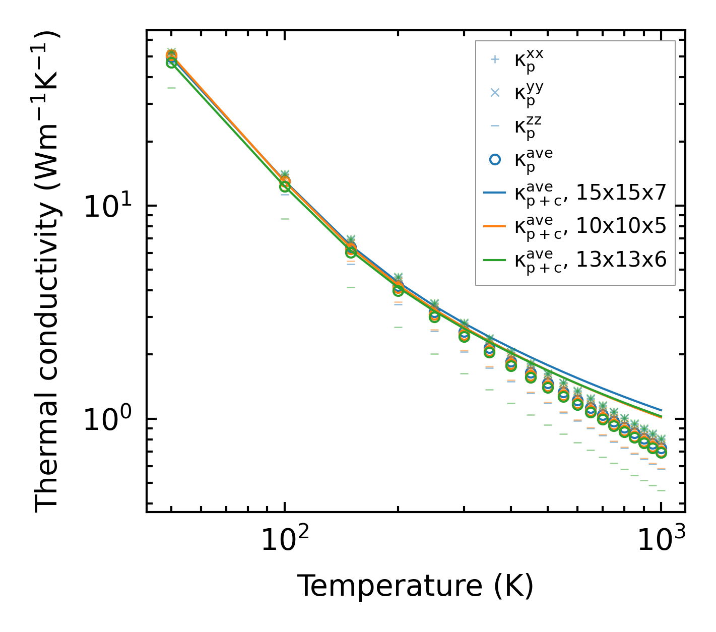
Summary

../../_images/fig_kappa12145.png

(a) Temperature-dependent lattice thermal conductivity

../../_images/fig_times24867.png

(b) Computation time