mp-13000/Ba2HoTaO6/anharm

Harmonic properties

../../_images/fig_bandos_pr15376.png

(a) Phonon dispersion with participation ratio and DOS

../../_images/fig_thermo15375.png

(b) Thermodynamic properties

Grüneisen parameters

../../_images/fig_gru_all6651.png

(a) Grüneisen parameters

../../_images/fig_gruneisen6651.png

(b) Phonon dispersion with Grüneisen parameters

Thermal conductivity

3-phonon (LASSO) — q-mesh: 13x13x13, supercell: 2x2x1

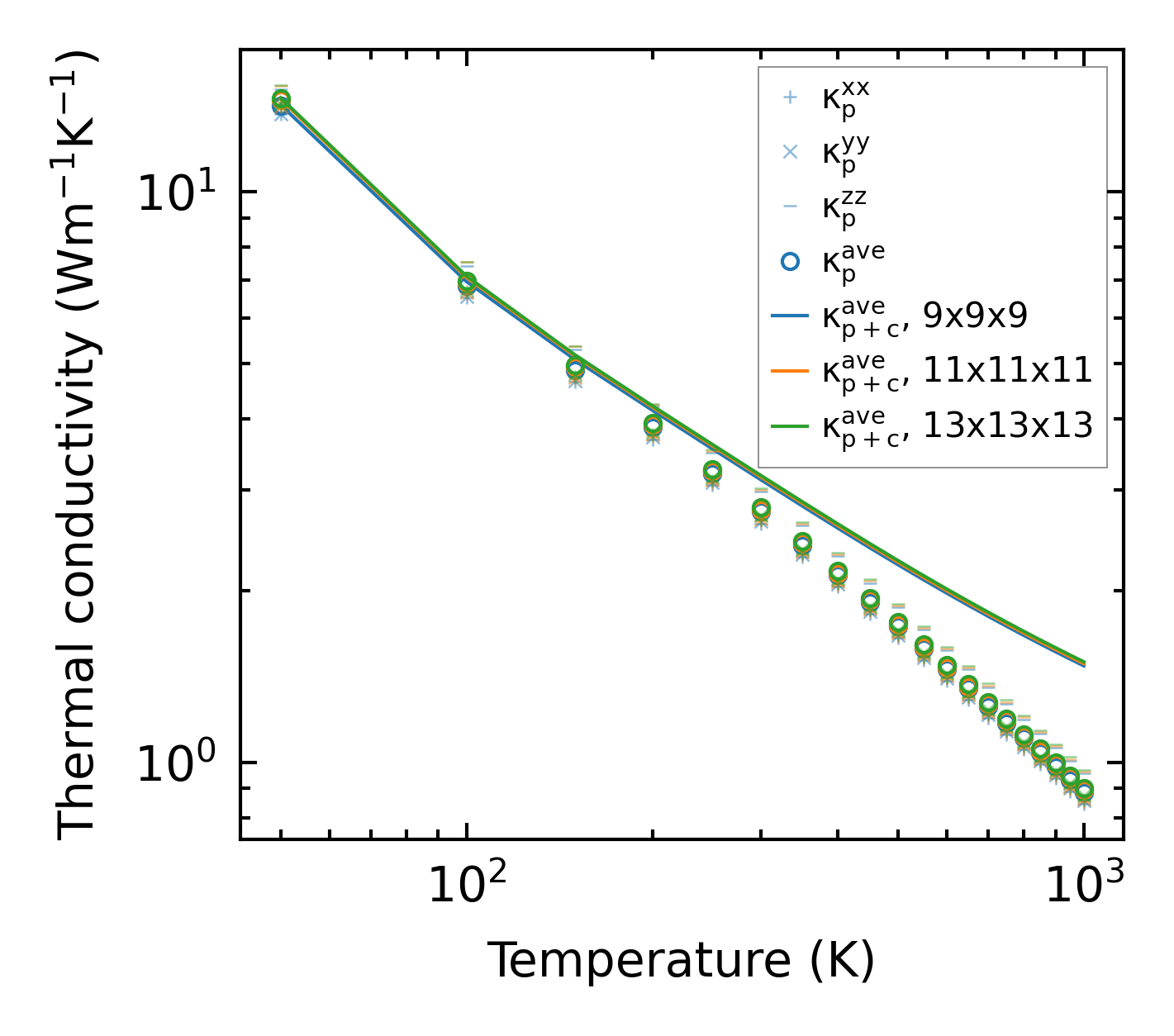
../../_images/fig_kappa12525.png

(a) Temperature-dependent lattice thermal conductivity

../../_images/fig_kappa_vs_grain_size6729.png

(b) Peierls lattice thermal conductivity w.r.t grain size

Phonon lifetime and scattering rates

../../_images/fig_lifetime6585.png

(a) Phonon lifetime due to phonon-phonon scattering

../../_images/fig_scat_rates6584.png

(b) Phonon scattering rates

Cumulative and spectral thermal conductivity

../../_images/fig_cumu_frequency6585.png

(a) Spectral and cumulative thermal conductivity w.r.t frequency

../../_images/fig_cumu_mfp6584.png

(b) Spectral and cumulative thermal conductivity w.r.t MFP

Force constants

../../_images/fig_fc214979.png

(a) Force constants w.r.t atomic distance

Summary

../../_images/fig_kappa12526.png

(a) Temperature-dependent lattice thermal conductivity

../../_images/fig_times25425.png

(b) Computation time