mp-12451/LiLa2OsO6/anharm

Harmonic properties

../../_images/fig_bandos_pr15634.png

(a) Phonon dispersion with participation ratio and DOS

../../_images/fig_thermo15633.png

(b) Thermodynamic properties

Grüneisen parameters

../../_images/fig_gru_all6757.png

(a) Grüneisen parameters

../../_images/fig_gruneisen6757.png

(b) Phonon dispersion with Grüneisen parameters

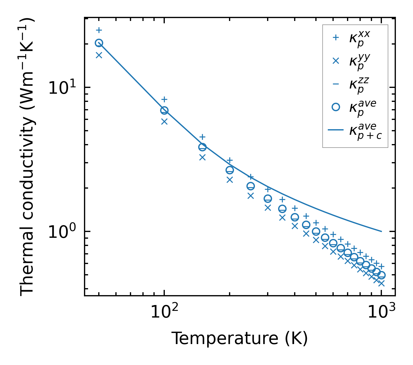
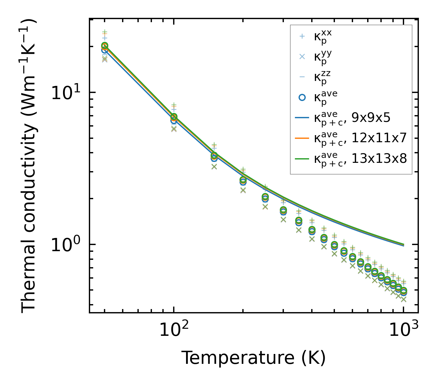
Thermal conductivity

3-phonon (LASSO) — q-mesh: 13x13x8, supercell: 2x2x1

../../_images/fig_kappa12726.png

(a) Temperature-dependent lattice thermal conductivity

../../_images/fig_kappa_vs_grain_size6837.png

(b) Peierls lattice thermal conductivity w.r.t grain size

Phonon lifetime and scattering rates

../../_images/fig_lifetime6691.png

(a) Phonon lifetime due to phonon-phonon scattering

../../_images/fig_scat_rates6690.png

(b) Phonon scattering rates

Cumulative and spectral thermal conductivity

../../_images/fig_cumu_frequency6691.png

(a) Spectral and cumulative thermal conductivity w.r.t frequency

../../_images/fig_cumu_mfp6690.png

(b) Spectral and cumulative thermal conductivity w.r.t MFP

Force constants

../../_images/fig_fc215229.png

(a) Force constants w.r.t atomic distance

Summary

../../_images/fig_kappa12727.png

(a) Temperature-dependent lattice thermal conductivity

../../_images/fig_times25808.png

(b) Computation time