mp-12448/LiSm2OsO6/anharm

Harmonic properties

../../_images/fig_bandos_pr15631.png

(a) Phonon dispersion with participation ratio and DOS

../../_images/fig_thermo15630.png

(b) Thermodynamic properties

Grüneisen parameters

../../_images/fig_gru_all6754.png

(a) Grüneisen parameters

../../_images/fig_gruneisen6754.png

(b) Phonon dispersion with Grüneisen parameters

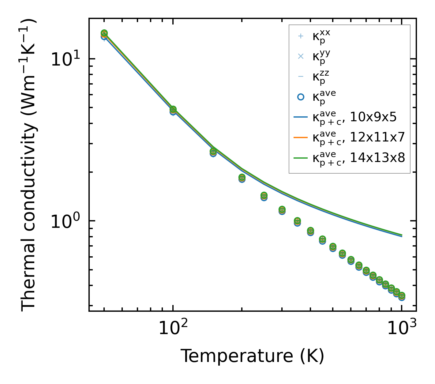
Thermal conductivity

3-phonon (LASSO) — q-mesh: 14x13x8, supercell: 2x2x1

../../_images/fig_kappa12720.png

(a) Temperature-dependent lattice thermal conductivity

../../_images/fig_kappa_vs_grain_size6834.png

(b) Peierls lattice thermal conductivity w.r.t grain size

Phonon lifetime and scattering rates

../../_images/fig_lifetime6688.png

(a) Phonon lifetime due to phonon-phonon scattering

../../_images/fig_scat_rates6687.png

(b) Phonon scattering rates

Cumulative and spectral thermal conductivity

../../_images/fig_cumu_frequency6688.png

(a) Spectral and cumulative thermal conductivity w.r.t frequency

../../_images/fig_cumu_mfp6687.png

(b) Spectral and cumulative thermal conductivity w.r.t MFP

Force constants

../../_images/fig_fc215226.png

(a) Force constants w.r.t atomic distance

Summary

../../_images/fig_kappa12721.png

(a) Temperature-dependent lattice thermal conductivity

../../_images/fig_times25805.png

(b) Computation time