mp-12671/Er2SO2/anharm

Equation of state

../../_images/fig_bm7658.png

(a) Equation of state

Harmonic properties

../../_images/fig_bandos_pr15688.png

(a) Phonon dispersion with participation ratio and DOS

../../_images/fig_thermo15687.png

(b) Thermodynamic properties

Grüneisen parameters

../../_images/fig_gru_all6792.png

(a) Grüneisen parameters

../../_images/fig_gruneisen6792.png

(b) Phonon dispersion with Grüneisen parameters

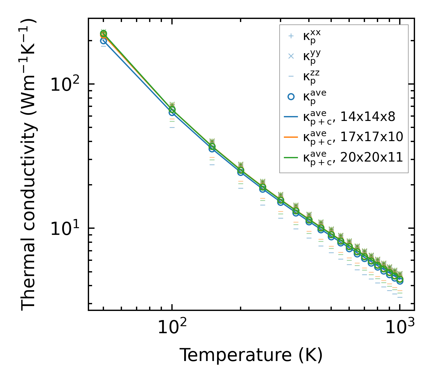
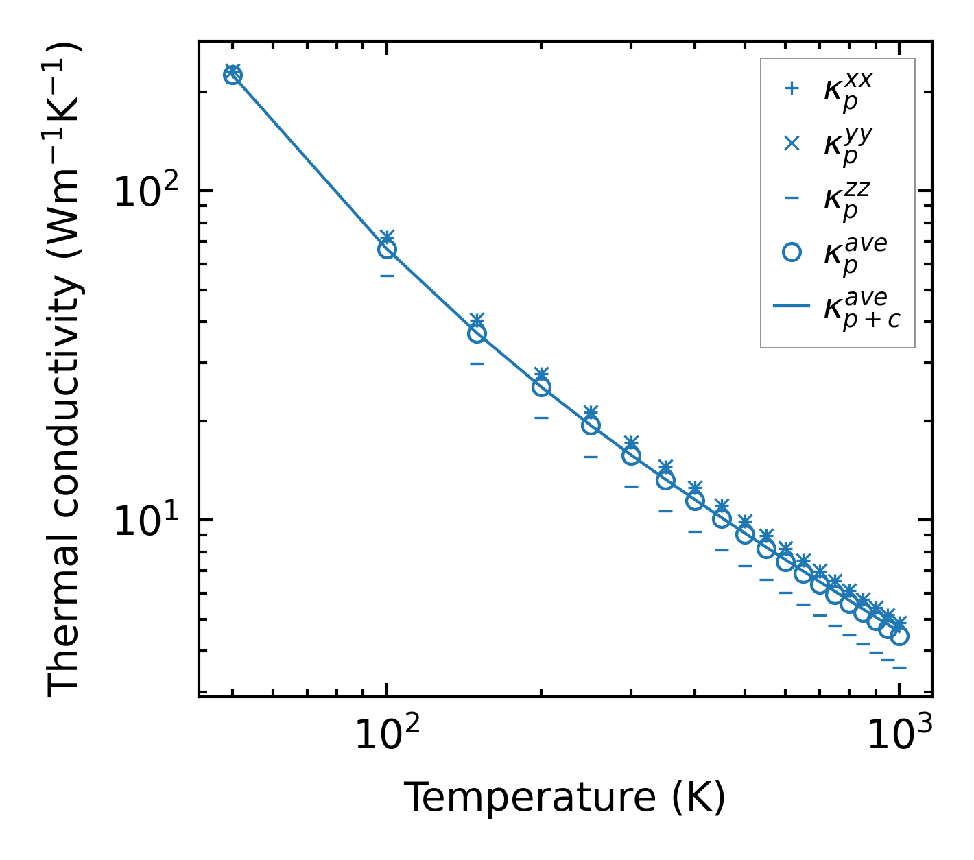
Thermal conductivity

3-phonon (LASSO) — q-mesh: 20x20x11, supercell: 3x3x2

../../_images/fig_kappa12795.png

(a) Temperature-dependent lattice thermal conductivity

../../_images/fig_kappa_vs_grain_size6872.png

(b) Peierls lattice thermal conductivity w.r.t grain size

Phonon lifetime and scattering rates

../../_images/fig_lifetime6726.png

(a) Phonon lifetime due to phonon-phonon scattering

../../_images/fig_scat_rates6725.png

(b) Phonon scattering rates

Cumulative and spectral thermal conductivity

../../_images/fig_cumu_frequency6726.png

(a) Spectral and cumulative thermal conductivity w.r.t frequency

../../_images/fig_cumu_mfp6725.png

(b) Spectral and cumulative thermal conductivity w.r.t MFP

Force constants

../../_images/fig_fc215283.png

(a) Force constants w.r.t atomic distance

Summary

../../_images/fig_kappa12796.png

(a) Temperature-dependent lattice thermal conductivity

../../_images/fig_times25867.png

(b) Computation time