mp-12442-2/KAuF6/harm

Harmonic properties

../../_images/fig_bandos_pr15627.png

(a) Phonon dispersion with participation ratio and DOS

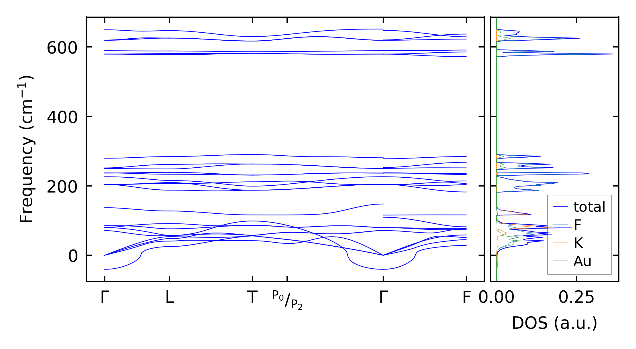
../../_images/fig_bandos20035.png

(b) Phonon dispersion and DOS

../../_images/fig_thermo15626.png

(c) Thermodynamic properties

Force constants

../../_images/fig_fc215222.png

(a) Force constants w.r.t atomic distance

Summary

../../_images/fig_times25801.png

(a) Computation time