mp-12944/HoAsO4/anharm

Harmonic properties

../../_images/fig_bandos_pr15364.png

(a) Phonon dispersion with participation ratio and DOS

../../_images/fig_thermo15363.png

(b) Thermodynamic properties

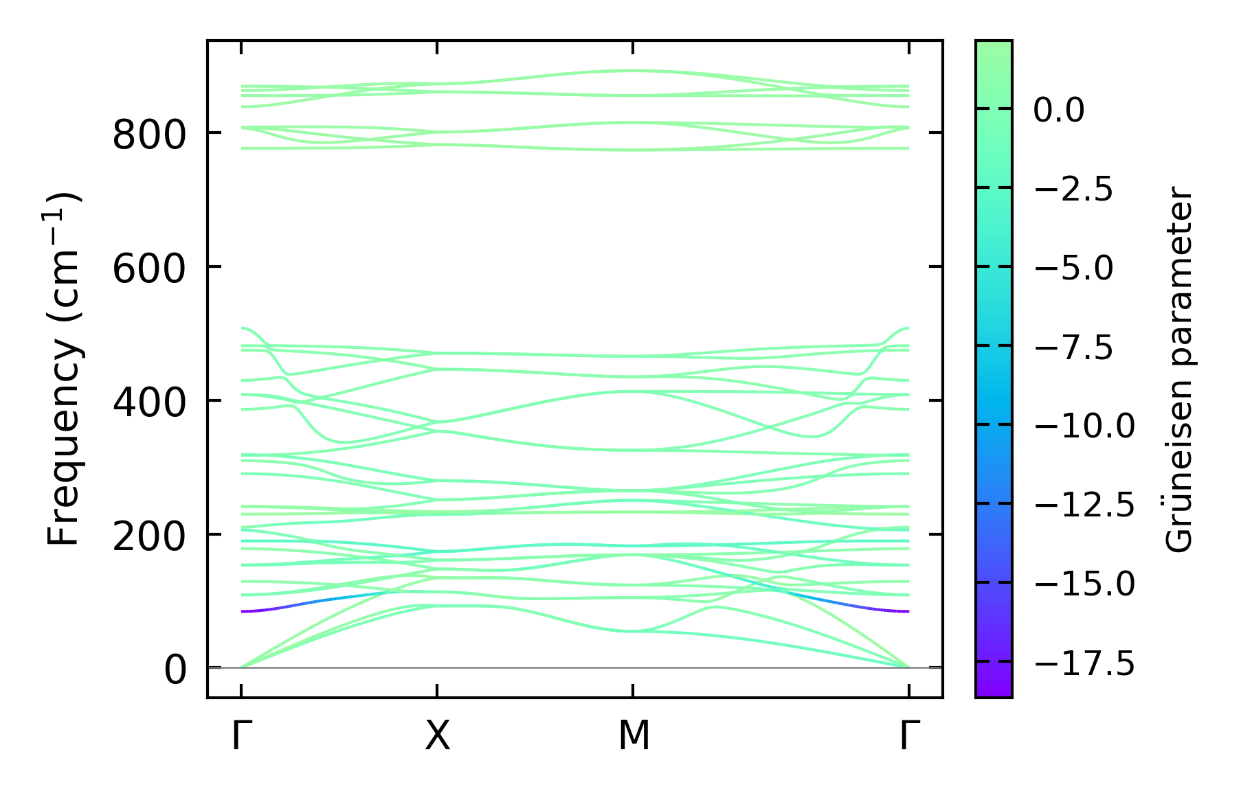
Grüneisen parameters

../../_images/fig_gru_all6642.png

(a) Grüneisen parameters

../../_images/fig_gruneisen6642.png

(b) Phonon dispersion with Grüneisen parameters

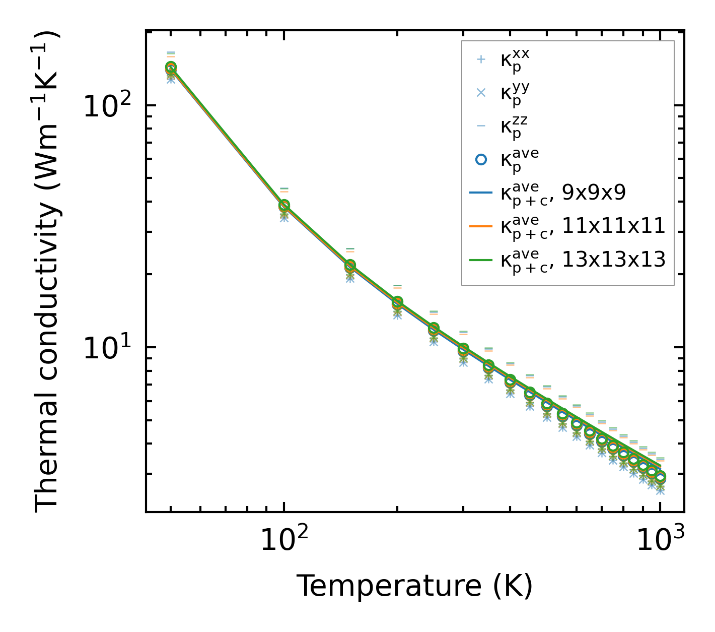
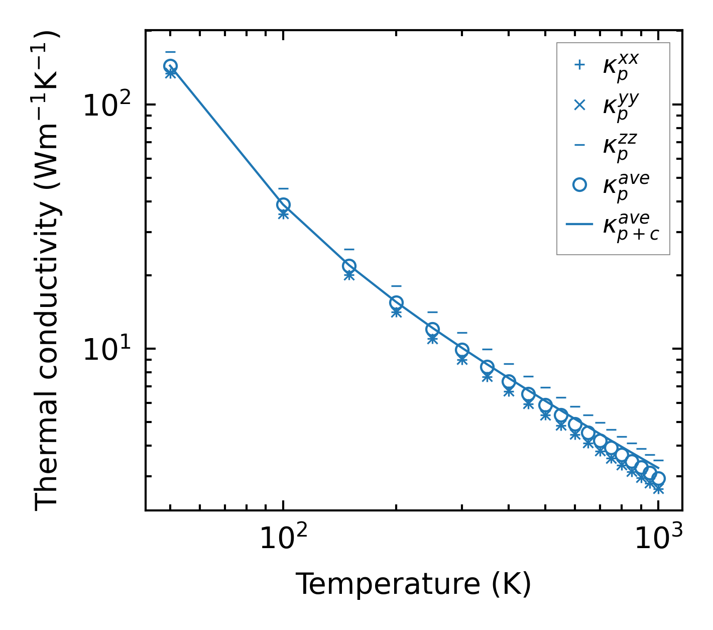
Thermal conductivity

3-phonon (LASSO) — q-mesh: 13x13x13, supercell: 1x1x2

../../_images/fig_kappa12508.png

(a) Temperature-dependent lattice thermal conductivity

../../_images/fig_kappa_vs_grain_size6720.png

(b) Peierls lattice thermal conductivity w.r.t grain size

Phonon lifetime and scattering rates

../../_images/fig_lifetime6576.png

(a) Phonon lifetime due to phonon-phonon scattering

../../_images/fig_scat_rates6575.png

(b) Phonon scattering rates

Cumulative and spectral thermal conductivity

../../_images/fig_cumu_frequency6576.png

(a) Spectral and cumulative thermal conductivity w.r.t frequency

../../_images/fig_cumu_mfp6575.png

(b) Spectral and cumulative thermal conductivity w.r.t MFP

Force constants

../../_images/fig_fc214967.png

(a) Force constants w.r.t atomic distance

Summary

../../_images/fig_kappa12509.png

(a) Temperature-dependent lattice thermal conductivity

../../_images/fig_times25409.png

(b) Computation time