mp-12803/BaEr2F8/anharm

Harmonic properties

../../_images/fig_bandos_pr15697.png

(a) Phonon dispersion with participation ratio and DOS

../../_images/fig_thermo15696.png

(b) Thermodynamic properties

Grüneisen parameters

../../_images/fig_gru_all6797.png

(a) Grüneisen parameters

../../_images/fig_gruneisen6797.png

(b) Phonon dispersion with Grüneisen parameters

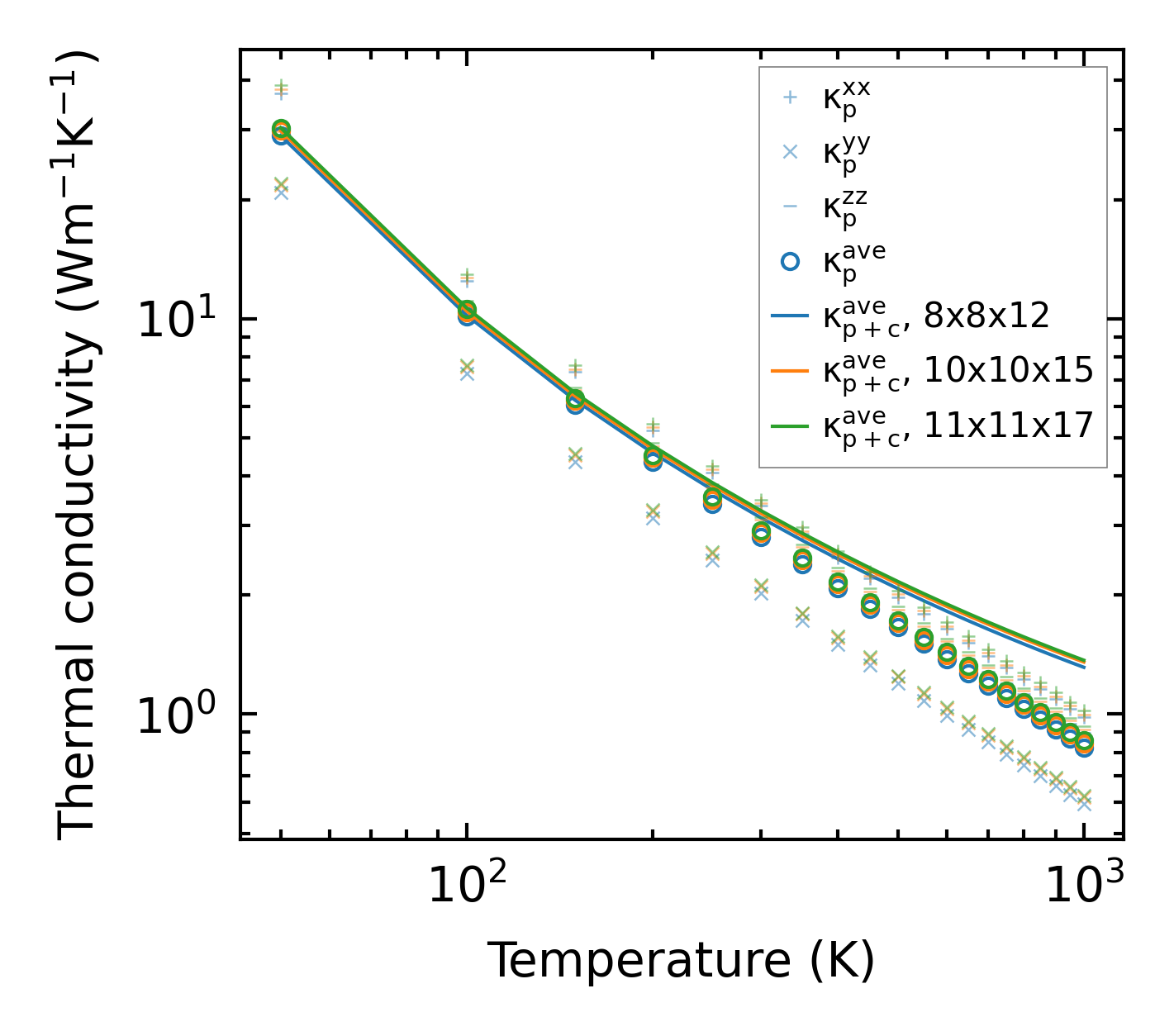
Thermal conductivity

3-phonon (LASSO) — q-mesh: 11x11x17, supercell: 2x1x3

../../_images/fig_kappa12805.png

(a) Temperature-dependent lattice thermal conductivity

../../_images/fig_kappa_vs_grain_size6877.png

(b) Peierls lattice thermal conductivity w.r.t grain size

Phonon lifetime and scattering rates

../../_images/fig_lifetime6731.png

(a) Phonon lifetime due to phonon-phonon scattering

../../_images/fig_scat_rates6730.png

(b) Phonon scattering rates

Cumulative and spectral thermal conductivity

../../_images/fig_cumu_frequency6731.png

(a) Spectral and cumulative thermal conductivity w.r.t frequency

../../_images/fig_cumu_mfp6730.png

(b) Spectral and cumulative thermal conductivity w.r.t MFP

Force constants

../../_images/fig_fc215292.png

(a) Force constants w.r.t atomic distance

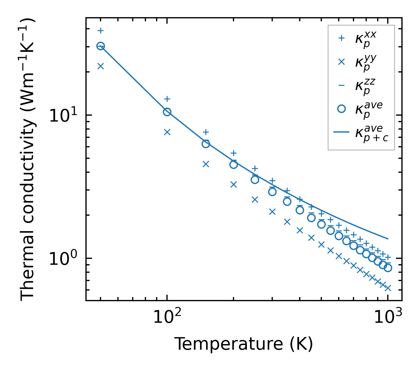
Summary

../../_images/fig_kappa12806.png

(a) Temperature-dependent lattice thermal conductivity

../../_images/fig_times25878.png

(b) Computation time