mp-12263/LiAuF4/anharm

Equation of state

../../_images/fig_bm7613.png

(a) Equation of state

Harmonic properties

../../_images/fig_bandos_pr15586.png

(a) Phonon dispersion with participation ratio and DOS

../../_images/fig_thermo15585.png

(b) Thermodynamic properties

Grüneisen parameters

../../_images/fig_gru_all6736.png

(a) Grüneisen parameters

../../_images/fig_gruneisen6736.png

(b) Phonon dispersion with Grüneisen parameters

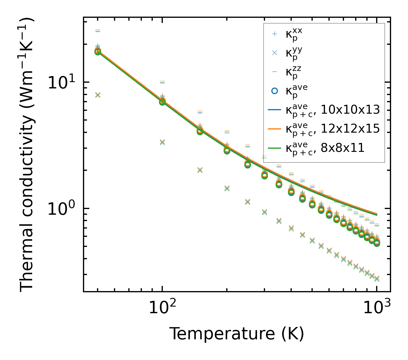
Thermal conductivity

3-phonon (LASSO) — q-mesh: 12x12x15, supercell: 1x2x3

../../_images/fig_kappa12685.png

(a) Temperature-dependent lattice thermal conductivity

../../_images/fig_kappa_vs_grain_size6816.png

(b) Peierls lattice thermal conductivity w.r.t grain size

Phonon lifetime and scattering rates

../../_images/fig_lifetime6670.png

(a) Phonon lifetime due to phonon-phonon scattering

../../_images/fig_scat_rates6669.png

(b) Phonon scattering rates

Cumulative and spectral thermal conductivity

../../_images/fig_cumu_frequency6670.png

(a) Spectral and cumulative thermal conductivity w.r.t frequency

../../_images/fig_cumu_mfp6669.png

(b) Spectral and cumulative thermal conductivity w.r.t MFP

Force constants

../../_images/fig_fc215181.png

(a) Force constants w.r.t atomic distance

Summary

../../_images/fig_kappa12686.png

(a) Temperature-dependent lattice thermal conductivity

../../_images/fig_times25750.png

(b) Computation time