mp-12929/SmAsO4/anharm

Equation of state

../../_images/fig_bm7562.png

(a) Equation of state

Harmonic properties

../../_images/fig_bandos_pr15363.png

(a) Phonon dispersion with participation ratio and DOS

../../_images/fig_thermo15362.png

(b) Thermodynamic properties

Grüneisen parameters

../../_images/fig_gru_all6641.png

(a) Grüneisen parameters

../../_images/fig_gruneisen6641.png

(b) Phonon dispersion with Grüneisen parameters

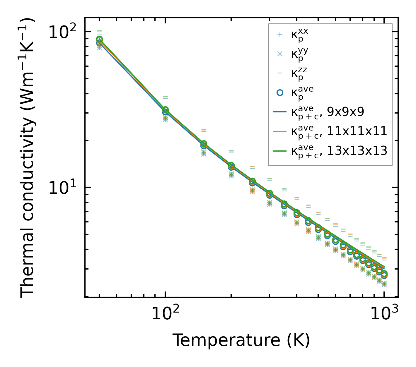
Thermal conductivity

3-phonon (LASSO) — q-mesh: 13x13x13, supercell: 1x1x2

../../_images/fig_kappa12506.png

(a) Temperature-dependent lattice thermal conductivity

../../_images/fig_kappa_vs_grain_size6719.png

(b) Peierls lattice thermal conductivity w.r.t grain size

Phonon lifetime and scattering rates

../../_images/fig_lifetime6575.png

(a) Phonon lifetime due to phonon-phonon scattering

../../_images/fig_scat_rates6574.png

(b) Phonon scattering rates

Cumulative and spectral thermal conductivity

../../_images/fig_cumu_frequency6575.png

(a) Spectral and cumulative thermal conductivity w.r.t frequency

../../_images/fig_cumu_mfp6574.png

(b) Spectral and cumulative thermal conductivity w.r.t MFP

Force constants

../../_images/fig_fc214966.png

(a) Force constants w.r.t atomic distance

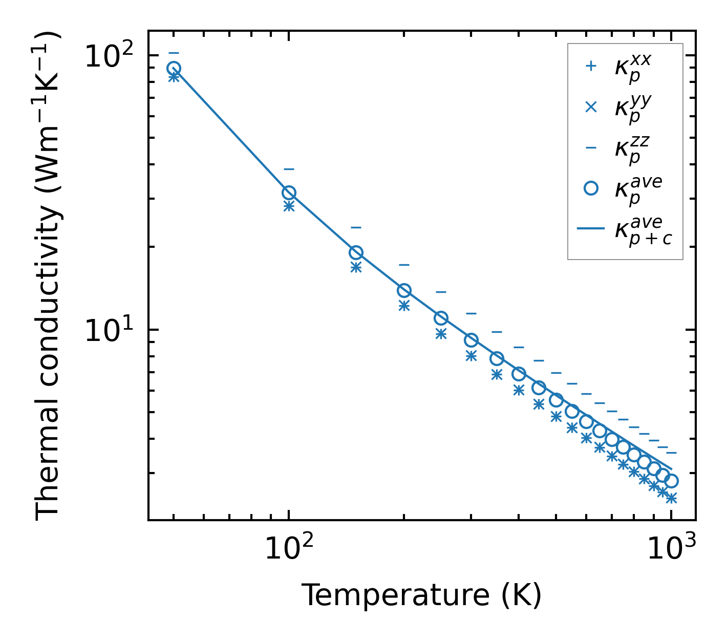
Summary

../../_images/fig_kappa12507.png

(a) Temperature-dependent lattice thermal conductivity

../../_images/fig_times25402.png

(b) Computation time