mp-12903/YAgTe2/anharm

Equation of state

../../_images/fig_bm7674.png

(a) Equation of state

Harmonic properties

../../_images/fig_bandos_pr15721.png

(a) Phonon dispersion with participation ratio and DOS

../../_images/fig_bandos20083.png

(b) Phonon dispersion and DOS

../../_images/fig_thermo15720.png

(c) Thermodynamic properties

Grüneisen parameters

../../_images/fig_gru_all6806.png

(a) Grüneisen parameters

../../_images/fig_gruneisen6806.png

(b) Phonon dispersion with Grüneisen parameters

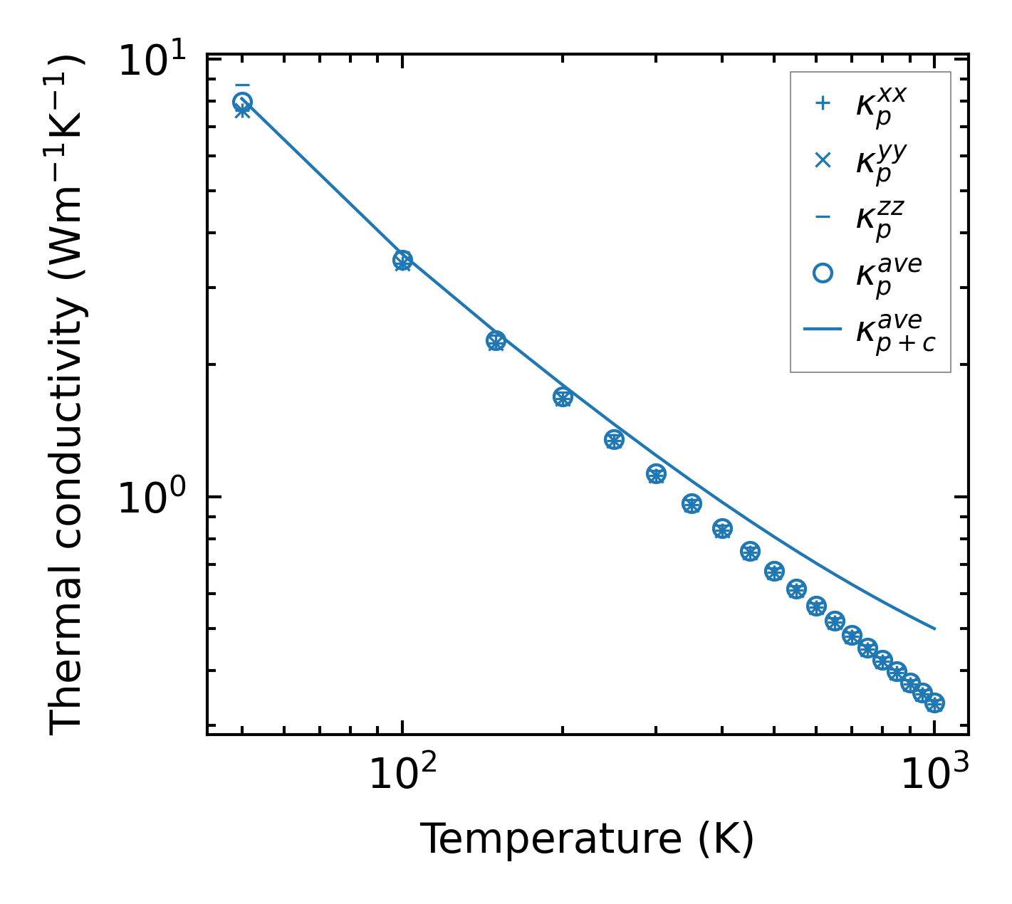
Thermal conductivity

3-phonon (LASSO), supercell 3x3x3 — q-mesh: 10x10x15, supercell: 3x3x3

../../_images/fig_kappa12822.png

(a) Temperature-dependent lattice thermal conductivity

../../_images/fig_kappa_vs_grain_size6886.png

(b) Peierls lattice thermal conductivity w.r.t grain size

Phonon lifetime and scattering rates

../../_images/fig_lifetime6740.png

(a) Phonon lifetime due to phonon-phonon scattering

../../_images/fig_scat_rates6739.png

(b) Phonon scattering rates

Cumulative and spectral thermal conductivity

../../_images/fig_cumu_frequency6740.png

(a) Spectral and cumulative thermal conductivity w.r.t frequency

../../_images/fig_cumu_mfp6739.png

(b) Spectral and cumulative thermal conductivity w.r.t MFP

Force constants

../../_images/fig_fc215316.png

(a) Force constants w.r.t atomic distance

Summary

../../_images/fig_times25902.png

(a) Computation time