mp-12455/TmCuS2/anharm

Harmonic properties

../../_images/fig_bandos_pr15638.png

(a) Phonon dispersion with participation ratio and DOS

../../_images/fig_thermo15637.png

(b) Thermodynamic properties

Grüneisen parameters

../../_images/fig_gru_all6761.png

(a) Grüneisen parameters

../../_images/fig_gruneisen6761.png

(b) Phonon dispersion with Grüneisen parameters

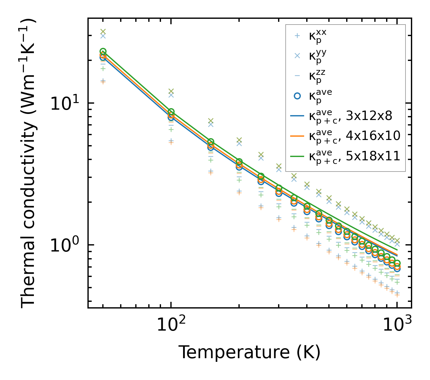
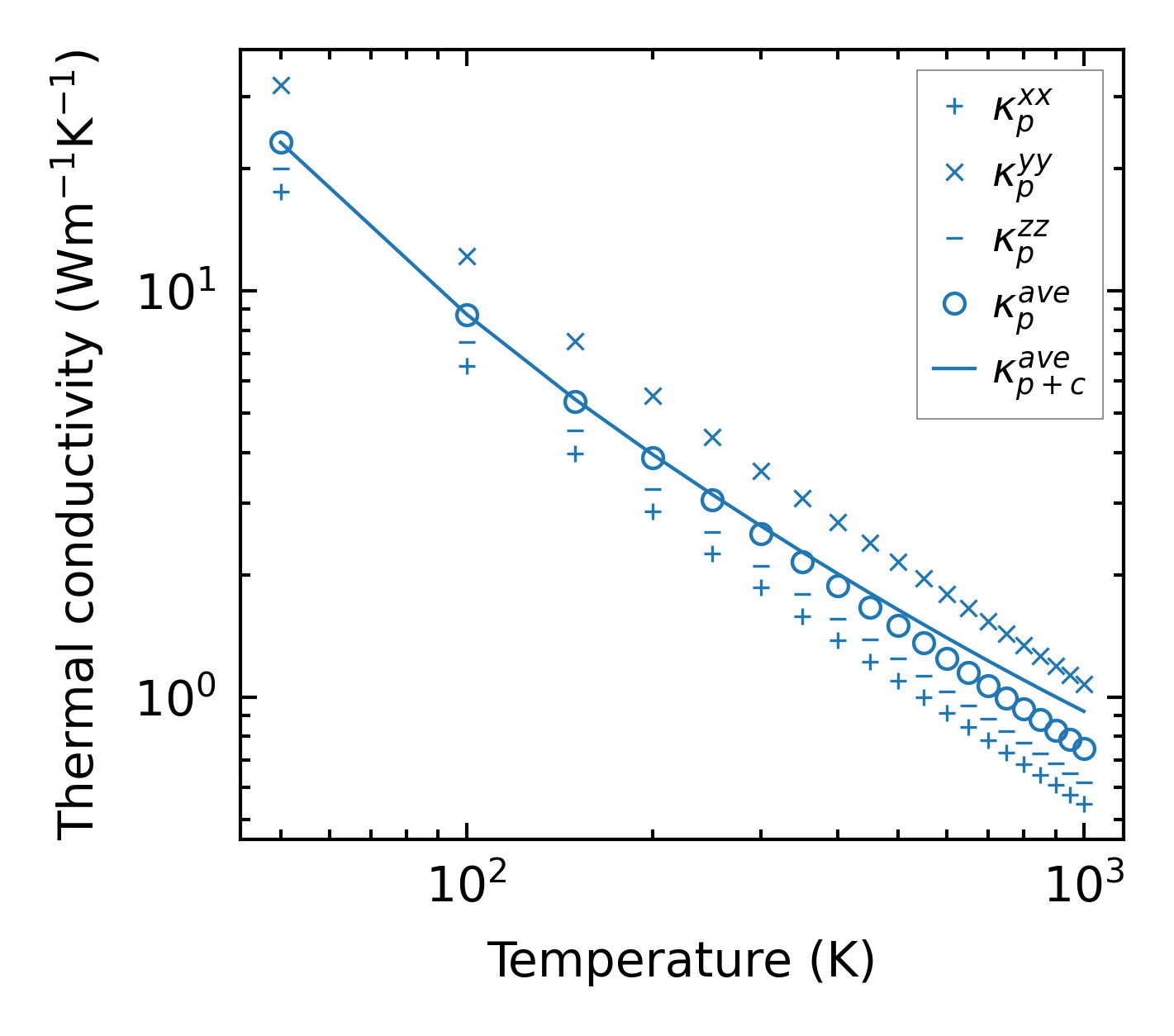
Thermal conductivity

3-phonon (LASSO) — q-mesh: 5x18x11, supercell: 1x4x2

../../_images/fig_kappa12734.png

(a) Temperature-dependent lattice thermal conductivity

../../_images/fig_kappa_vs_grain_size6841.png

(b) Peierls lattice thermal conductivity w.r.t grain size

Phonon lifetime and scattering rates

../../_images/fig_lifetime6695.png

(a) Phonon lifetime due to phonon-phonon scattering

../../_images/fig_scat_rates6694.png

(b) Phonon scattering rates

Cumulative and spectral thermal conductivity

../../_images/fig_cumu_frequency6695.png

(a) Spectral and cumulative thermal conductivity w.r.t frequency

../../_images/fig_cumu_mfp6694.png

(b) Spectral and cumulative thermal conductivity w.r.t MFP

Force constants

../../_images/fig_fc215233.png

(a) Force constants w.r.t atomic distance

Summary

../../_images/fig_kappa12735.png

(a) Temperature-dependent lattice thermal conductivity

../../_images/fig_times25812.png

(b) Computation time