mp-12787/SiO2/harm

Harmonic properties

../../_images/fig_bandos_pr15693.png

(a) Phonon dispersion with participation ratio and DOS

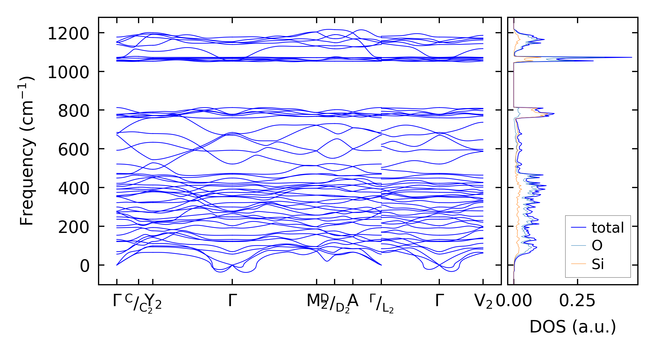
../../_images/fig_bandos20063.png

(b) Phonon dispersion and DOS

../../_images/fig_thermo15692.png

(c) Thermodynamic properties

Force constants

../../_images/fig_fc215288.png

(a) Force constants w.r.t atomic distance

Summary

../../_images/fig_times25874.png

(a) Computation time