mp-12958-3/BaSiO3/anharm

Harmonic properties

../../_images/fig_bandos_pr15373.png

(a) Phonon dispersion with participation ratio and DOS

../../_images/fig_thermo15372.png

(b) Thermodynamic properties

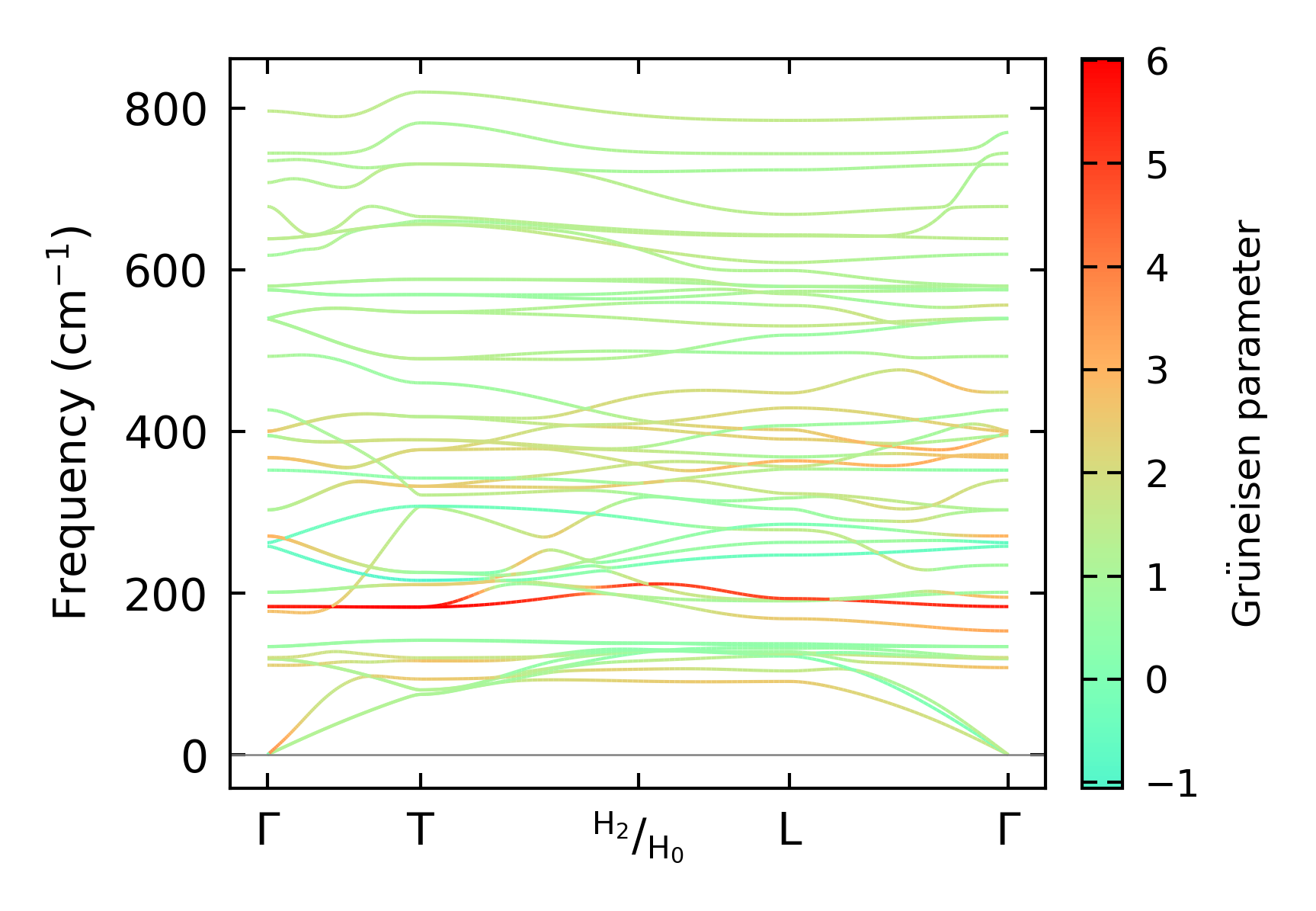
Grüneisen parameters

../../_images/fig_gru_all6649.png

(a) Grüneisen parameters

../../_images/fig_gruneisen6649.png

(b) Phonon dispersion with Grüneisen parameters

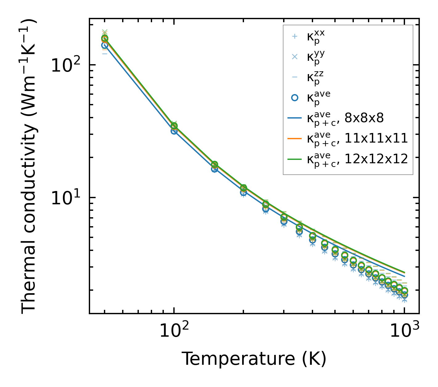
Thermal conductivity

3-phonon (LASSO) — q-mesh: 12x12x12, supercell: 1x1x1

../../_images/fig_kappa12521.png

(a) Temperature-dependent lattice thermal conductivity

../../_images/fig_kappa_vs_grain_size6727.png

(b) Peierls lattice thermal conductivity w.r.t grain size

Phonon lifetime and scattering rates

../../_images/fig_lifetime6583.png

(a) Phonon lifetime due to phonon-phonon scattering

../../_images/fig_scat_rates6582.png

(b) Phonon scattering rates

Cumulative and spectral thermal conductivity

../../_images/fig_cumu_frequency6583.png

(a) Spectral and cumulative thermal conductivity w.r.t frequency

../../_images/fig_cumu_mfp6582.png

(b) Spectral and cumulative thermal conductivity w.r.t MFP

Force constants

../../_images/fig_fc214976.png

(a) Force constants w.r.t atomic distance

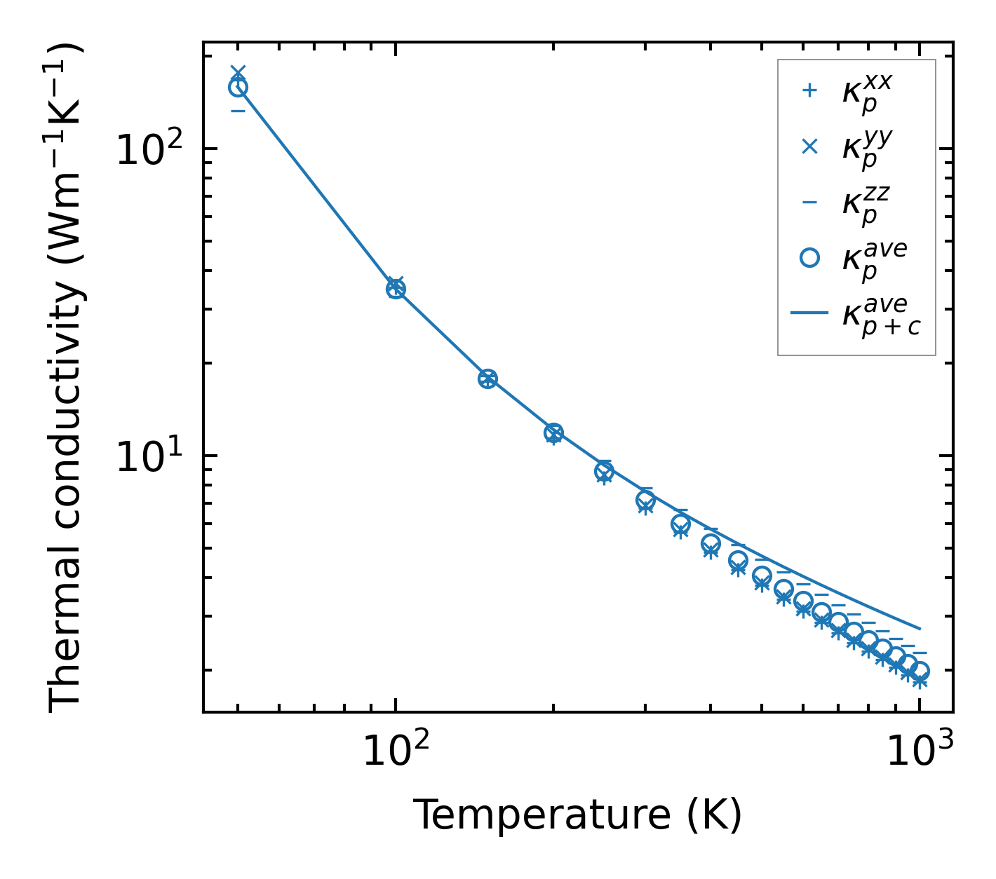
Summary

../../_images/fig_kappa12522.png

(a) Temperature-dependent lattice thermal conductivity

../../_images/fig_times25419.png

(b) Computation time