mp-12673/Lu2SO2/anharm

Equation of state

../../_images/fig_bm7659.png

(a) Equation of state

Harmonic properties

../../_images/fig_bandos_pr15690.png

(a) Phonon dispersion with participation ratio and DOS

../../_images/fig_thermo15689.png

(b) Thermodynamic properties

Grüneisen parameters

../../_images/fig_gru_all6794.png

(a) Grüneisen parameters

../../_images/fig_gruneisen6794.png

(b) Phonon dispersion with Grüneisen parameters

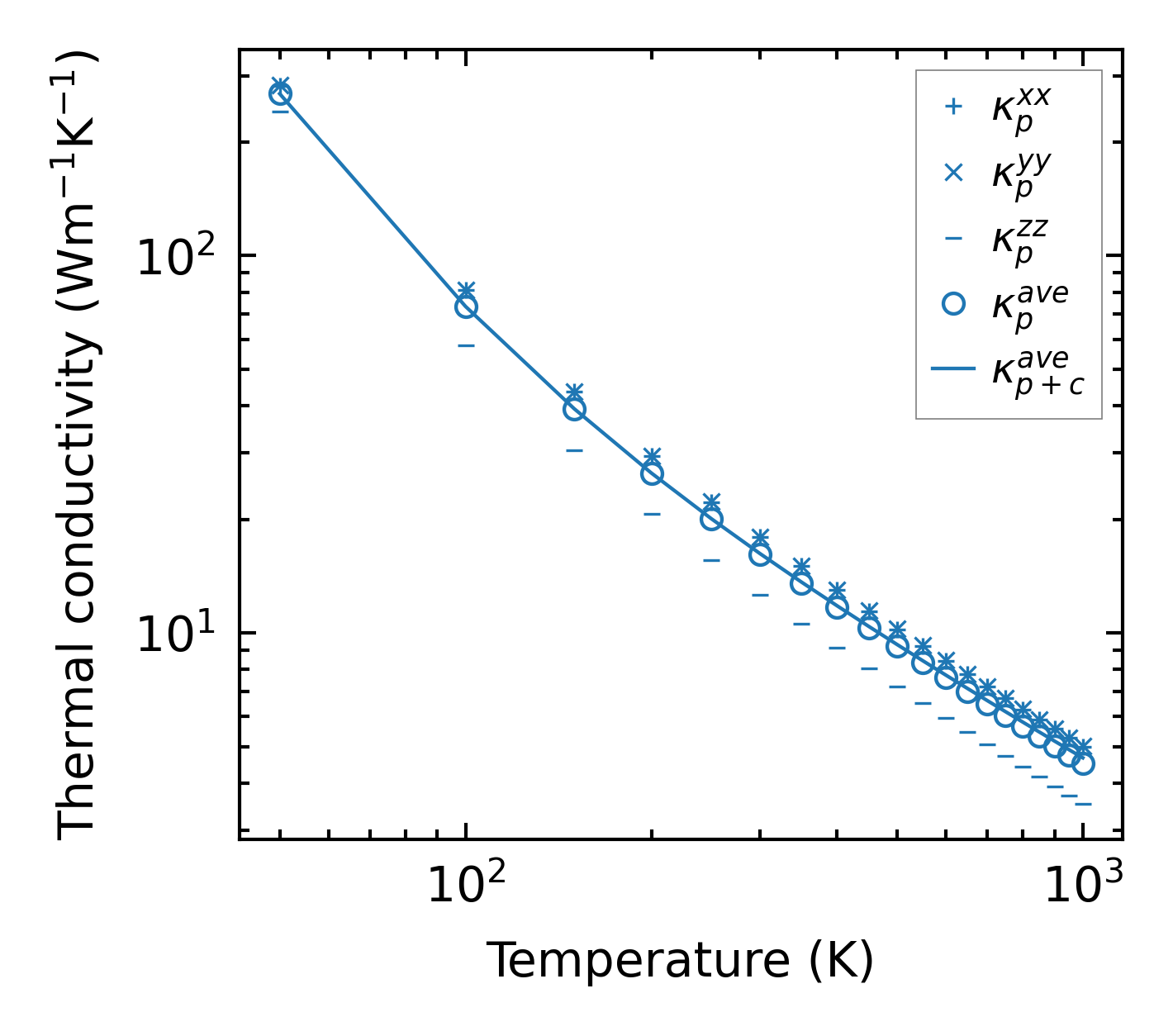
Thermal conductivity

3-phonon (LASSO) — q-mesh: 20x20x11, supercell: 3x3x2

../../_images/fig_kappa12799.png

(a) Temperature-dependent lattice thermal conductivity

../../_images/fig_kappa_vs_grain_size6874.png

(b) Peierls lattice thermal conductivity w.r.t grain size

Phonon lifetime and scattering rates

../../_images/fig_lifetime6728.png

(a) Phonon lifetime due to phonon-phonon scattering

../../_images/fig_scat_rates6727.png

(b) Phonon scattering rates

Cumulative and spectral thermal conductivity

../../_images/fig_cumu_frequency6728.png

(a) Spectral and cumulative thermal conductivity w.r.t frequency

../../_images/fig_cumu_mfp6727.png

(b) Spectral and cumulative thermal conductivity w.r.t MFP

Force constants

../../_images/fig_fc215285.png

(a) Force constants w.r.t atomic distance

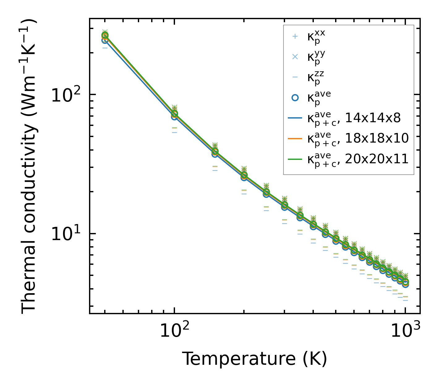
Summary

../../_images/fig_kappa12800.png

(a) Temperature-dependent lattice thermal conductivity

../../_images/fig_times25869.png

(b) Computation time