mp-12621/NdTeF/anharm

Equation of state

../../_images/fig_bm7646.png

(a) Equation of state

Harmonic properties

../../_images/fig_bandos_pr15666.png

(a) Phonon dispersion with participation ratio and DOS

../../_images/fig_thermo15665.png

(b) Thermodynamic properties

Grüneisen parameters

../../_images/fig_gru_all6781.png

(a) Grüneisen parameters

../../_images/fig_gruneisen6781.png

(b) Phonon dispersion with Grüneisen parameters

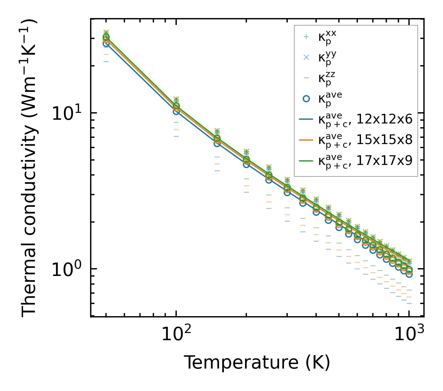
Thermal conductivity

3-phonon (LASSO) — q-mesh: 17x17x9, supercell: 3x3x2

../../_images/fig_kappa12773.png

(a) Temperature-dependent lattice thermal conductivity

../../_images/fig_kappa_vs_grain_size6861.png

(b) Peierls lattice thermal conductivity w.r.t grain size

Phonon lifetime and scattering rates

../../_images/fig_lifetime6715.png

(a) Phonon lifetime due to phonon-phonon scattering

../../_images/fig_scat_rates6714.png

(b) Phonon scattering rates

Cumulative and spectral thermal conductivity

../../_images/fig_cumu_frequency6715.png

(a) Spectral and cumulative thermal conductivity w.r.t frequency

../../_images/fig_cumu_mfp6714.png

(b) Spectral and cumulative thermal conductivity w.r.t MFP

Force constants

../../_images/fig_fc215261.png

(a) Force constants w.r.t atomic distance

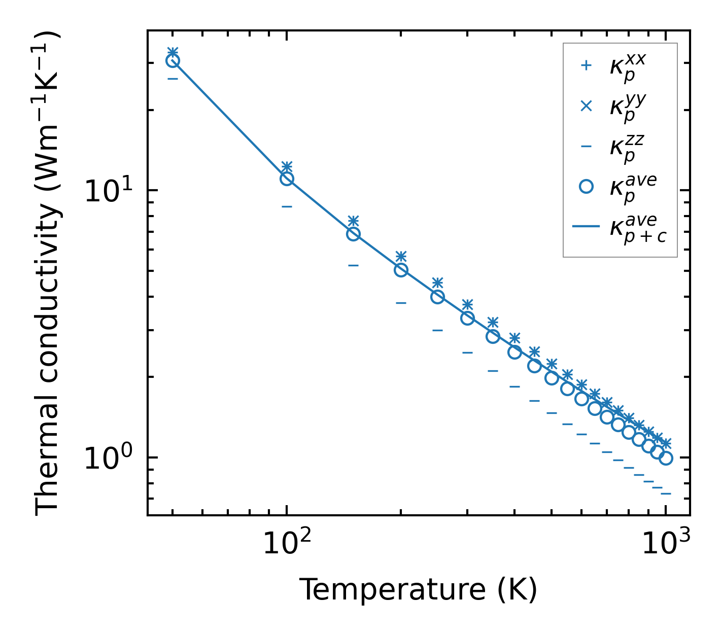
Summary

../../_images/fig_kappa12774.png

(a) Temperature-dependent lattice thermal conductivity

../../_images/fig_times25843.png

(b) Computation time