mp-12535/K2ZnTe2/anharm

Equation of state

../../_images/fig_bm7643.png

(a) Equation of state

Harmonic properties

../../_images/fig_bandos_pr15660.png

(a) Phonon dispersion with participation ratio and DOS

../../_images/fig_thermo15659.png

(b) Thermodynamic properties

Grüneisen parameters

../../_images/fig_gru_all6775.png

(a) Grüneisen parameters

../../_images/fig_gruneisen6775.png

(b) Phonon dispersion with Grüneisen parameters

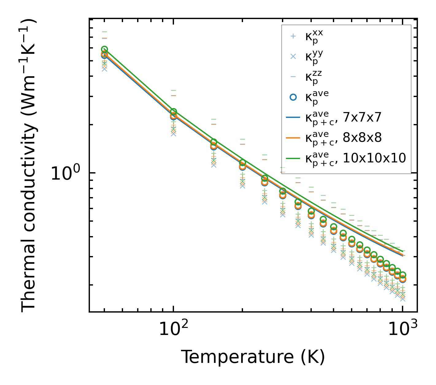
Thermal conductivity

3-phonon (LASSO) — q-mesh: 10x10x10, supercell: 2x1x3

../../_images/fig_kappa12761.png

(a) Temperature-dependent lattice thermal conductivity

../../_images/fig_kappa_vs_grain_size6855.png

(b) Peierls lattice thermal conductivity w.r.t grain size

Phonon lifetime and scattering rates

../../_images/fig_lifetime6709.png

(a) Phonon lifetime due to phonon-phonon scattering

../../_images/fig_scat_rates6708.png

(b) Phonon scattering rates

Cumulative and spectral thermal conductivity

../../_images/fig_cumu_frequency6709.png

(a) Spectral and cumulative thermal conductivity w.r.t frequency

../../_images/fig_cumu_mfp6708.png

(b) Spectral and cumulative thermal conductivity w.r.t MFP

Force constants

../../_images/fig_fc215255.png

(a) Force constants w.r.t atomic distance

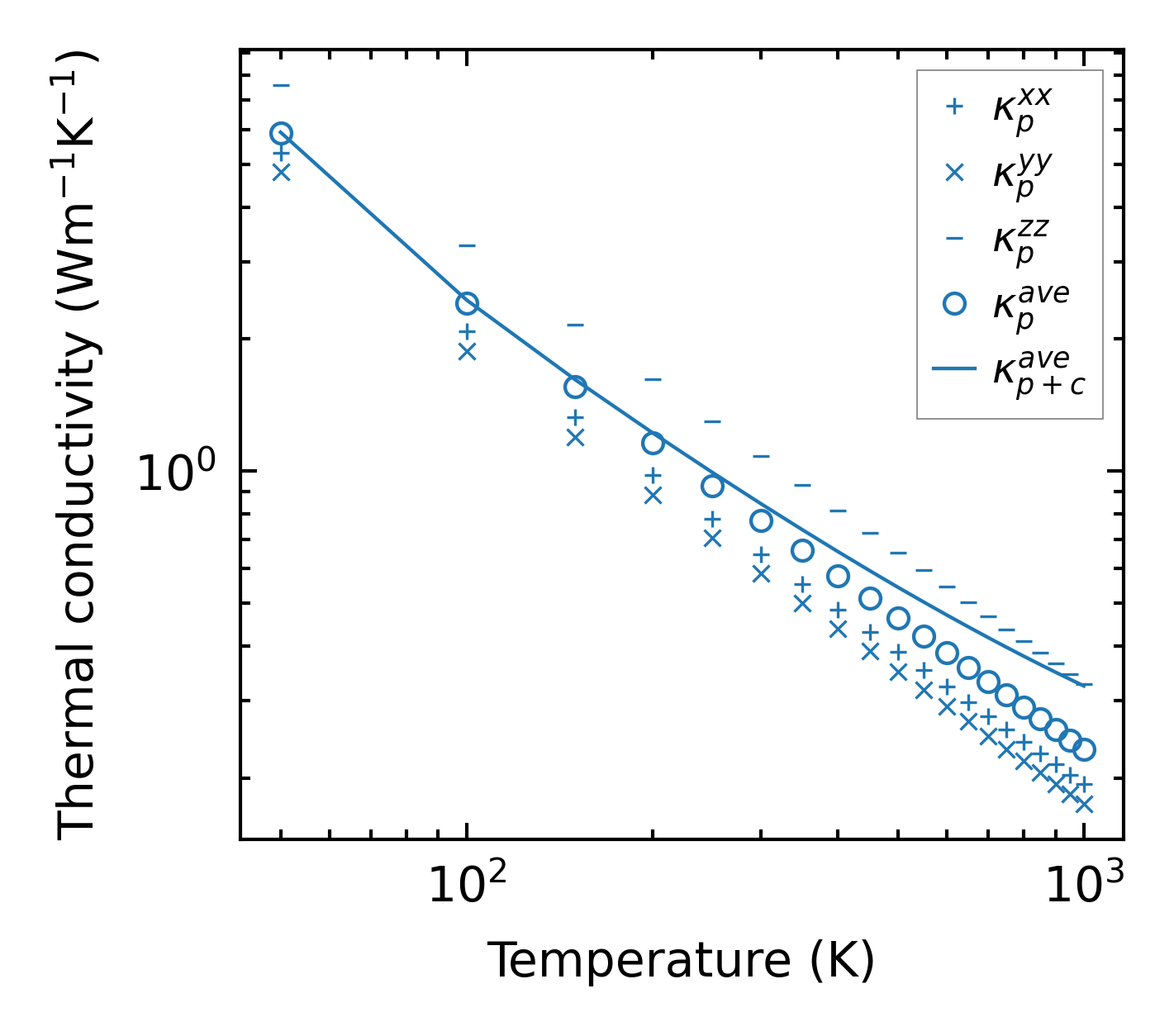
Summary

../../_images/fig_kappa12762.png

(a) Temperature-dependent lattice thermal conductivity

../../_images/fig_times25836.png

(b) Computation time