mp-12843/YCuS2/anharm

Equation of state

../../_images/fig_bm7666.png

(a) Equation of state

Harmonic properties

../../_images/fig_bandos_pr15704.png

(a) Phonon dispersion with participation ratio and DOS

../../_images/fig_thermo15703.png

(b) Thermodynamic properties

Grüneisen parameters

../../_images/fig_gru_all6800.png

(a) Grüneisen parameters

../../_images/fig_gruneisen6800.png

(b) Phonon dispersion with Grüneisen parameters

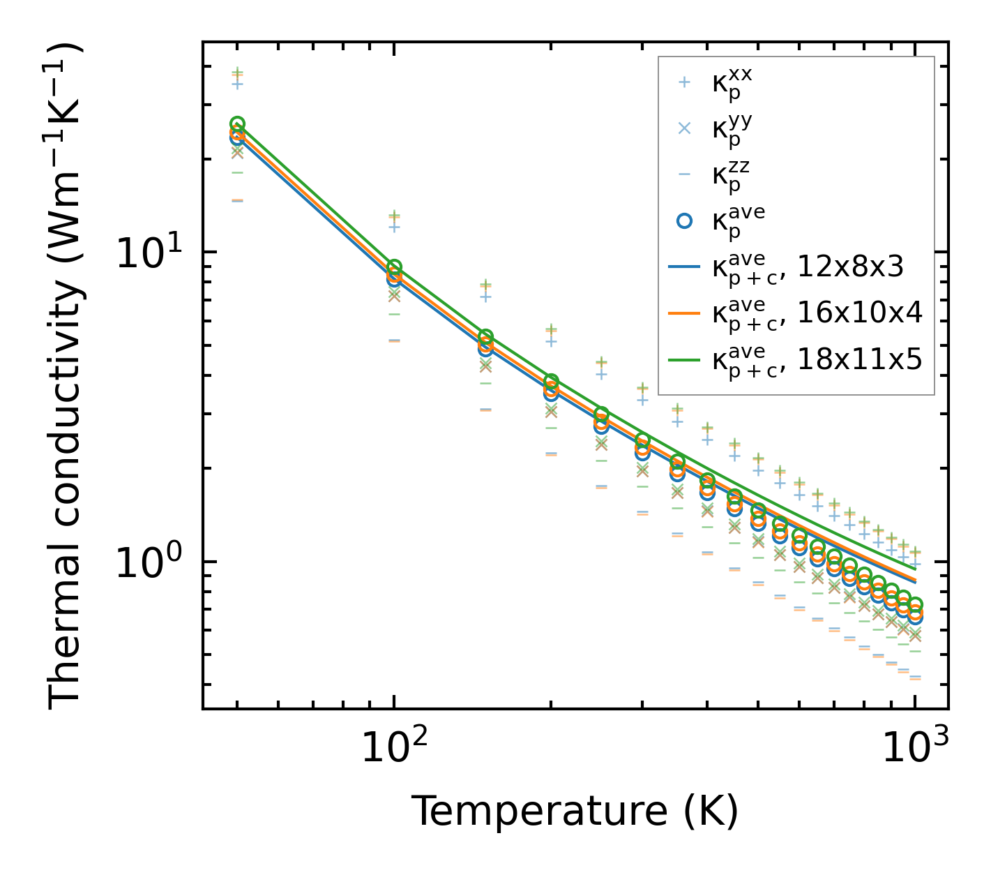
Thermal conductivity

3-phonon (LASSO) — q-mesh: 18x11x5, supercell: 4x2x1

../../_images/fig_kappa12811.png

(a) Temperature-dependent lattice thermal conductivity

../../_images/fig_kappa_vs_grain_size6880.png

(b) Peierls lattice thermal conductivity w.r.t grain size

Phonon lifetime and scattering rates

../../_images/fig_lifetime6734.png

(a) Phonon lifetime due to phonon-phonon scattering

../../_images/fig_scat_rates6733.png

(b) Phonon scattering rates

Cumulative and spectral thermal conductivity

../../_images/fig_cumu_frequency6734.png

(a) Spectral and cumulative thermal conductivity w.r.t frequency

../../_images/fig_cumu_mfp6733.png

(b) Spectral and cumulative thermal conductivity w.r.t MFP

Force constants

../../_images/fig_fc215299.png

(a) Force constants w.r.t atomic distance

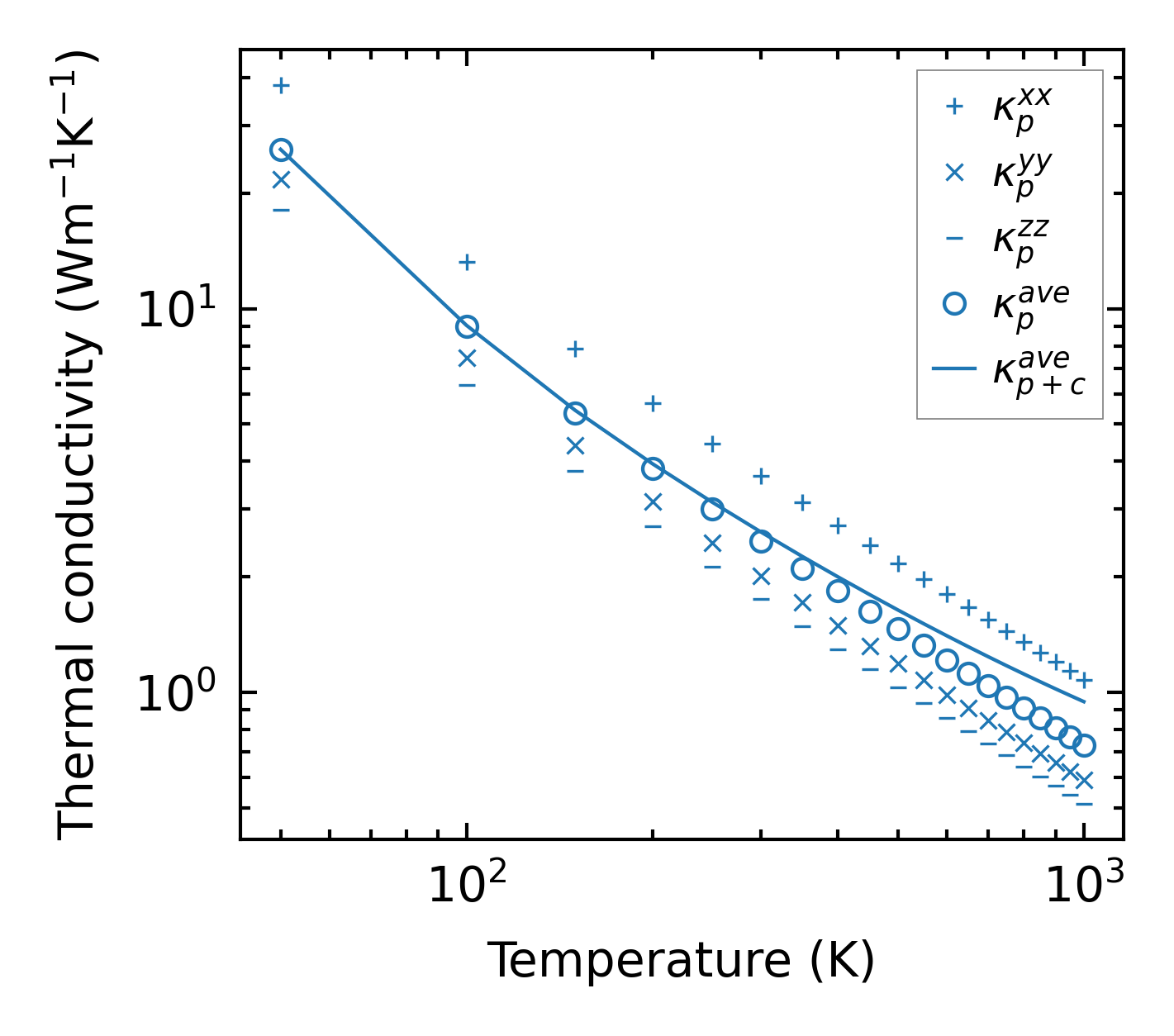
Summary

../../_images/fig_kappa12812.png

(a) Temperature-dependent lattice thermal conductivity

../../_images/fig_times25885.png

(b) Computation time