mp-12927-2/BaBe2N2/anharm

Equation of state

../../_images/fig_bm7561.png

(a) Equation of state

Harmonic properties

../../_images/fig_bandos_pr15362.png

(a) Phonon dispersion with participation ratio and DOS

../../_images/fig_bandos19730.png

(b) Phonon dispersion and DOS

../../_images/fig_thermo15361.png

(c) Thermodynamic properties

Grüneisen parameters

../../_images/fig_gru_all6640.png

(a) Grüneisen parameters

../../_images/fig_gruneisen6640.png

(b) Phonon dispersion with Grüneisen parameters

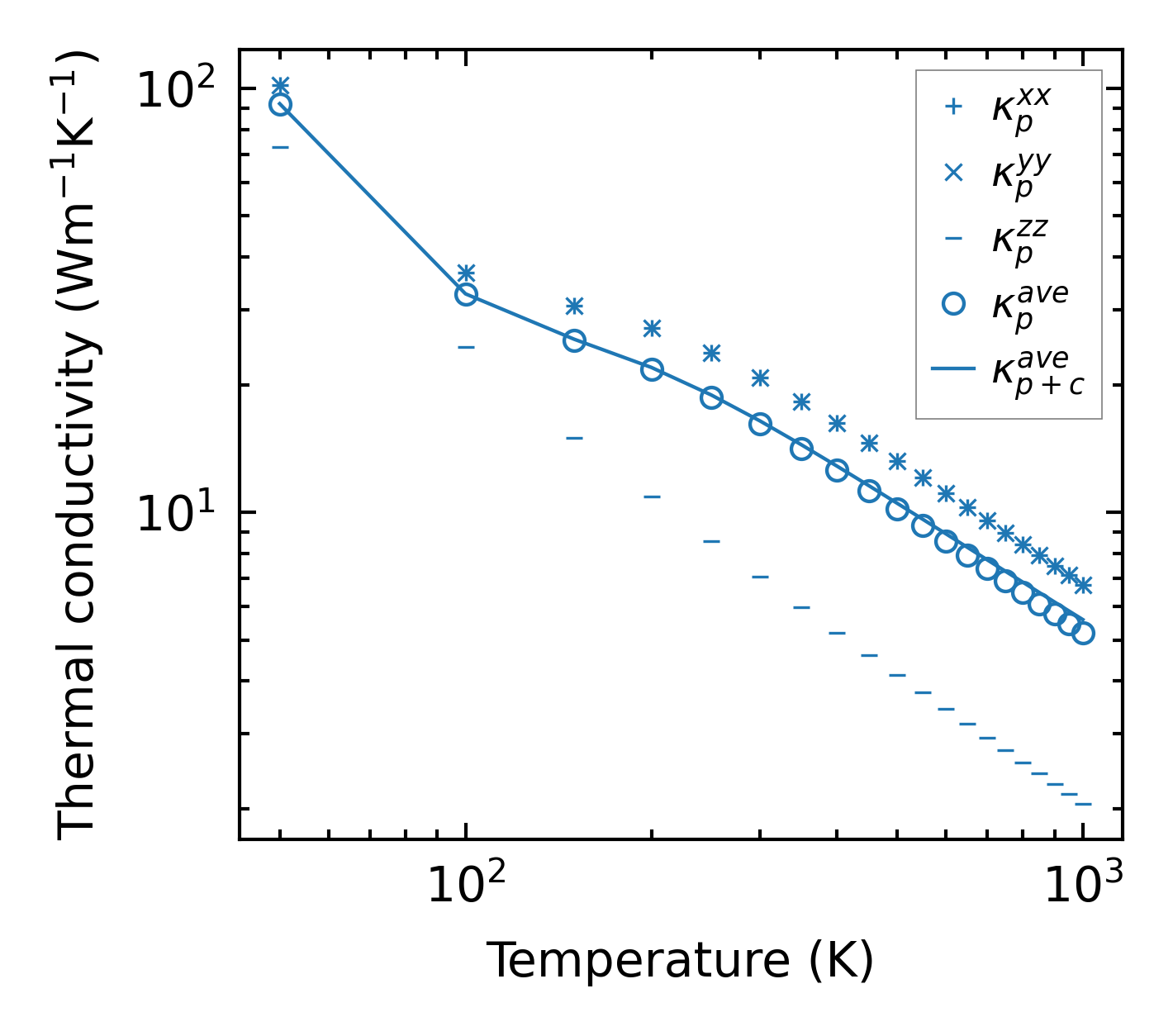
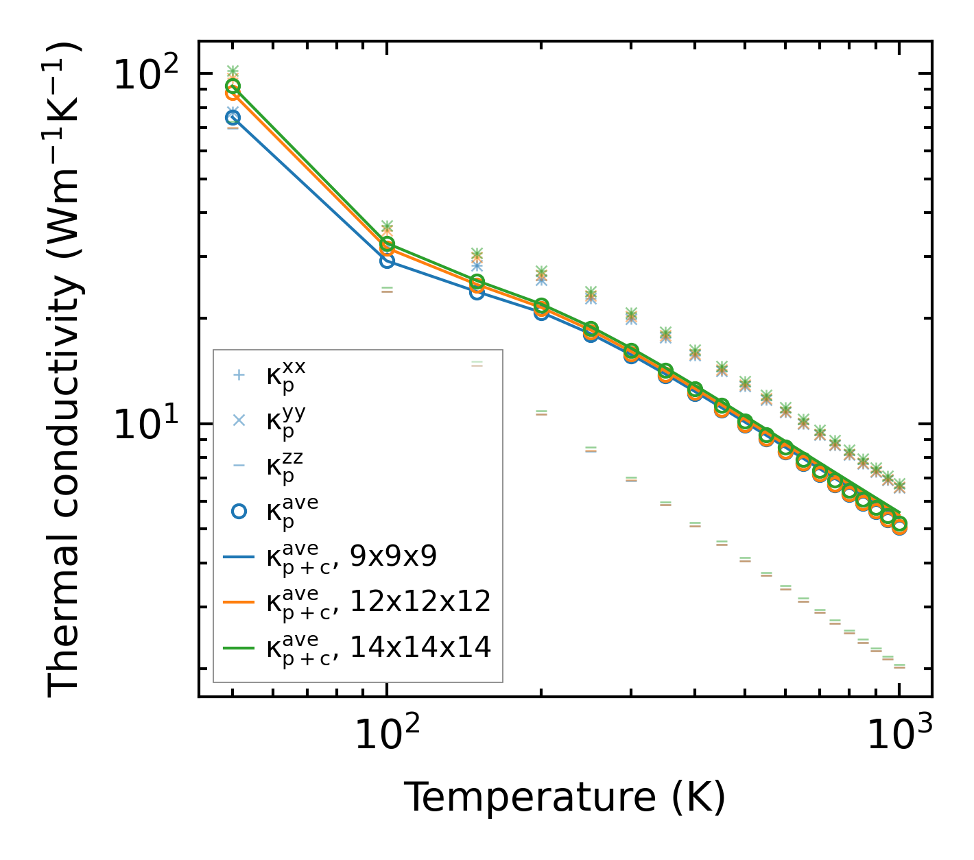
Thermal conductivity

3-phonon (LASSO) — q-mesh: 14x14x14, supercell: 2x2x1

../../_images/fig_kappa12504.png

(a) Temperature-dependent lattice thermal conductivity

../../_images/fig_kappa_vs_grain_size6718.png

(b) Peierls lattice thermal conductivity w.r.t grain size

Phonon lifetime and scattering rates

../../_images/fig_lifetime6574.png

(a) Phonon lifetime due to phonon-phonon scattering

../../_images/fig_scat_rates6573.png

(b) Phonon scattering rates

Cumulative and spectral thermal conductivity

../../_images/fig_cumu_frequency6574.png

(a) Spectral and cumulative thermal conductivity w.r.t frequency

../../_images/fig_cumu_mfp6573.png

(b) Spectral and cumulative thermal conductivity w.r.t MFP

Force constants

../../_images/fig_fc214965.png

(a) Force constants w.r.t atomic distance

Summary

../../_images/fig_kappa12505.png

(a) Temperature-dependent lattice thermal conductivity

../../_images/fig_times25401.png

(b) Computation time