mp-12944-2/HoAsO4/anharm

Equation of state

../../_images/fig_bm7566.png

(a) Equation of state

Harmonic properties

../../_images/fig_bandos_pr15365.png

(a) Phonon dispersion with participation ratio and DOS

../../_images/fig_thermo15364.png

(b) Thermodynamic properties

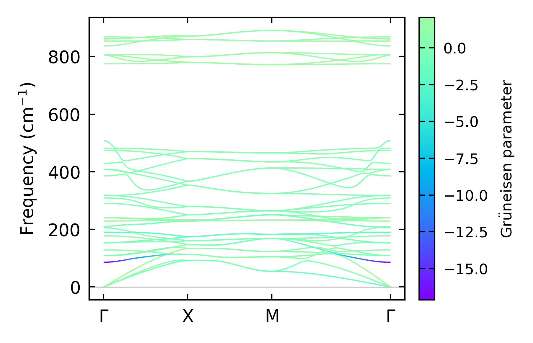
Grüneisen parameters

../../_images/fig_gru_all6643.png

(a) Grüneisen parameters

../../_images/fig_gruneisen6643.png

(b) Phonon dispersion with Grüneisen parameters

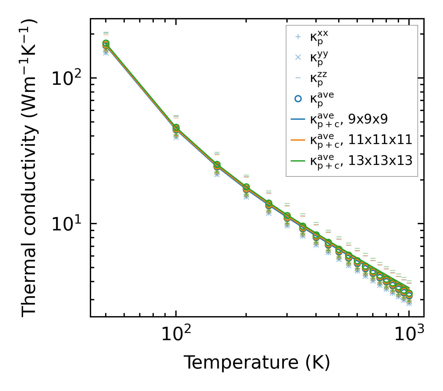
Thermal conductivity

3-phonon (LASSO) — q-mesh: 13x13x13, supercell: 1x1x2

../../_images/fig_kappa12510.png

(a) Temperature-dependent lattice thermal conductivity

../../_images/fig_kappa_vs_grain_size6721.png

(b) Peierls lattice thermal conductivity w.r.t grain size

Phonon lifetime and scattering rates

../../_images/fig_lifetime6577.png

(a) Phonon lifetime due to phonon-phonon scattering

../../_images/fig_scat_rates6576.png

(b) Phonon scattering rates

Cumulative and spectral thermal conductivity

../../_images/fig_cumu_frequency6577.png

(a) Spectral and cumulative thermal conductivity w.r.t frequency

../../_images/fig_cumu_mfp6576.png

(b) Spectral and cumulative thermal conductivity w.r.t MFP

Force constants

../../_images/fig_fc214968.png

(a) Force constants w.r.t atomic distance

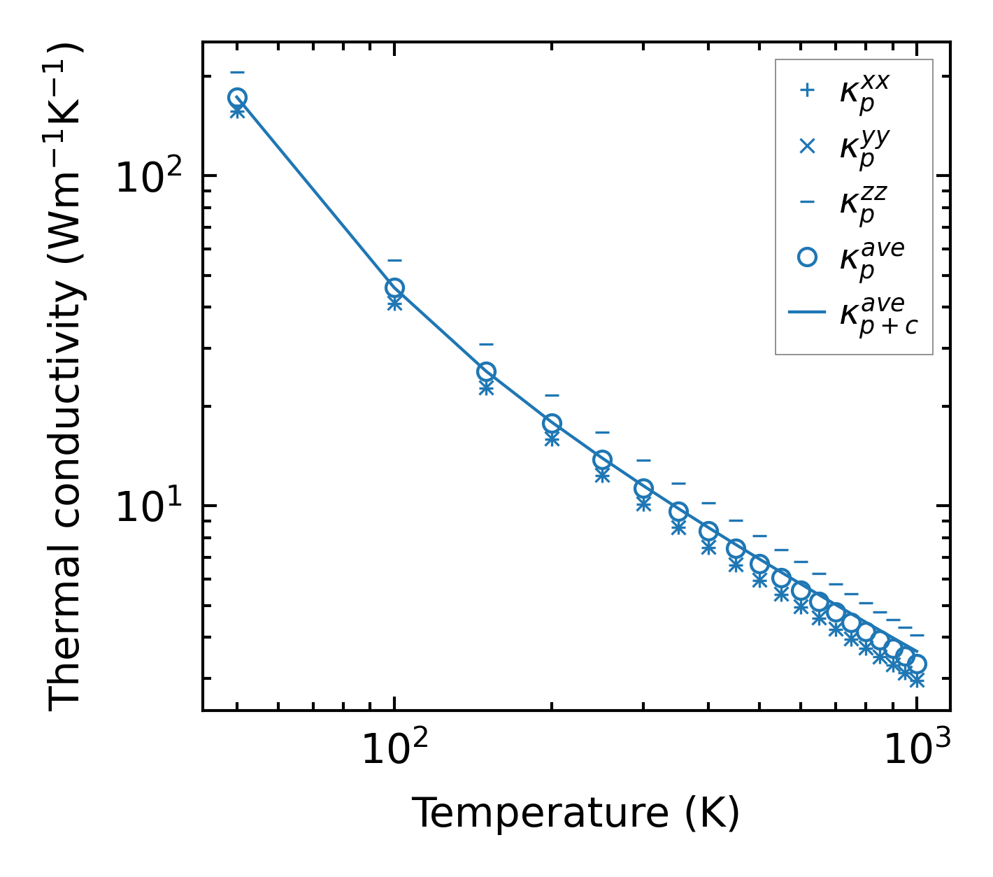
Summary

../../_images/fig_kappa12511.png

(a) Temperature-dependent lattice thermal conductivity

../../_images/fig_times25410.png

(b) Computation time