mp-12262/CsBeF3/anharm

Equation of state

../../_images/fig_bm7612.png

(a) Equation of state

Harmonic properties

../../_images/fig_bandos_pr15584.png

(a) Phonon dispersion with participation ratio and DOS

../../_images/fig_thermo15583.png

(b) Thermodynamic properties

Grüneisen parameters

../../_images/fig_gru_all6735.png

(a) Grüneisen parameters

../../_images/fig_gruneisen6735.png

(b) Phonon dispersion with Grüneisen parameters

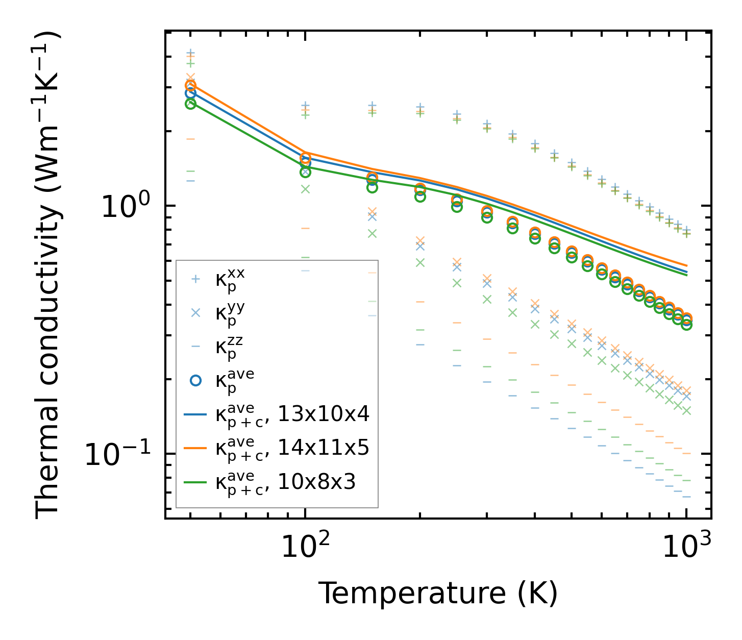
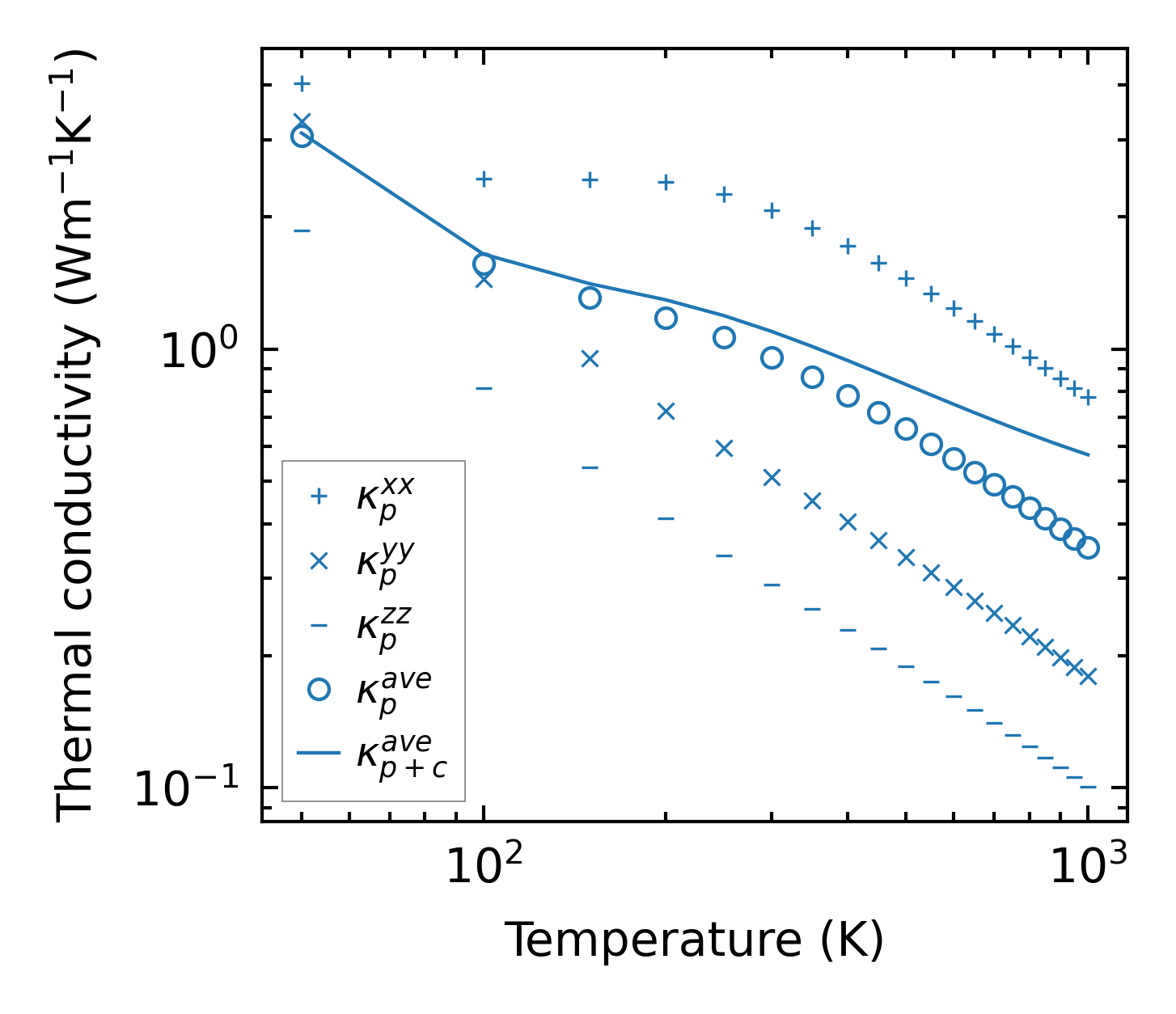
Thermal conductivity

3-phonon (LASSO) — q-mesh: 14x11x5, supercell: 3x2x1

../../_images/fig_kappa12682.png

(a) Temperature-dependent lattice thermal conductivity

../../_images/fig_kappa_vs_grain_size6814.png

(b) Peierls lattice thermal conductivity w.r.t grain size

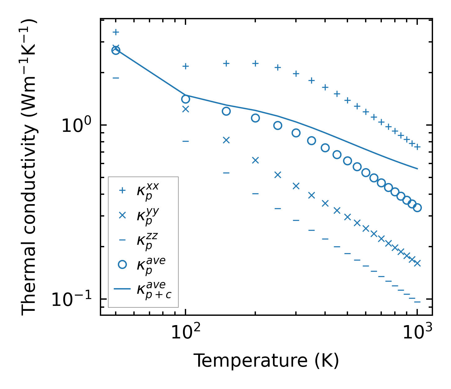
3-phonon (LASSO), supercell 3x3x1 — q-mesh: 14x11x5, supercell: 3x3x1

../../_images/fig_kappa12683.png

(a) Temperature-dependent lattice thermal conductivity

../../_images/fig_kappa_vs_grain_size6815.png

(b) Peierls lattice thermal conductivity w.r.t grain size

Phonon lifetime and scattering rates

../../_images/fig_lifetime6669.png

(a) Phonon lifetime due to phonon-phonon scattering

../../_images/fig_scat_rates6668.png

(b) Phonon scattering rates

Cumulative and spectral thermal conductivity

../../_images/fig_cumu_frequency6669.png

(a) Spectral and cumulative thermal conductivity w.r.t frequency

../../_images/fig_cumu_mfp6668.png

(b) Spectral and cumulative thermal conductivity w.r.t MFP

Force constants

../../_images/fig_fc215179.png

(a) Force constants w.r.t atomic distance

Summary

../../_images/fig_kappa12684.png

(a) Temperature-dependent lattice thermal conductivity

../../_images/fig_times25748.png

(b) Computation time