mp-12535-2/K2ZnTe2/anharm

Harmonic properties

../../_images/fig_bandos_pr15661.png

(a) Phonon dispersion with participation ratio and DOS

../../_images/fig_thermo15660.png

(b) Thermodynamic properties

Grüneisen parameters

../../_images/fig_gru_all6776.png

(a) Grüneisen parameters

../../_images/fig_gruneisen6776.png

(b) Phonon dispersion with Grüneisen parameters

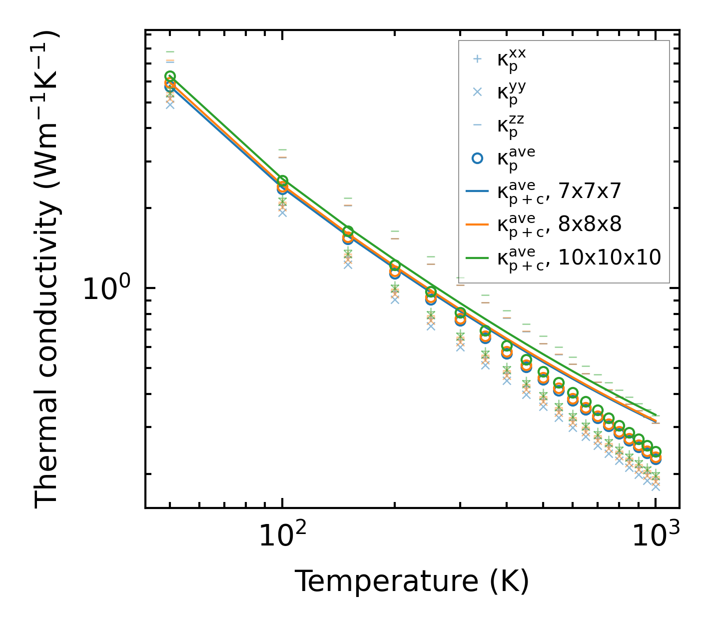
Thermal conductivity

3-phonon (LASSO) — q-mesh: 10x10x10, supercell: 2x1x3

../../_images/fig_kappa12763.png

(a) Temperature-dependent lattice thermal conductivity

../../_images/fig_kappa_vs_grain_size6856.png

(b) Peierls lattice thermal conductivity w.r.t grain size

Phonon lifetime and scattering rates

../../_images/fig_lifetime6710.png

(a) Phonon lifetime due to phonon-phonon scattering

../../_images/fig_scat_rates6709.png

(b) Phonon scattering rates

Cumulative and spectral thermal conductivity

../../_images/fig_cumu_frequency6710.png

(a) Spectral and cumulative thermal conductivity w.r.t frequency

../../_images/fig_cumu_mfp6709.png

(b) Spectral and cumulative thermal conductivity w.r.t MFP

Force constants

../../_images/fig_fc215256.png

(a) Force constants w.r.t atomic distance

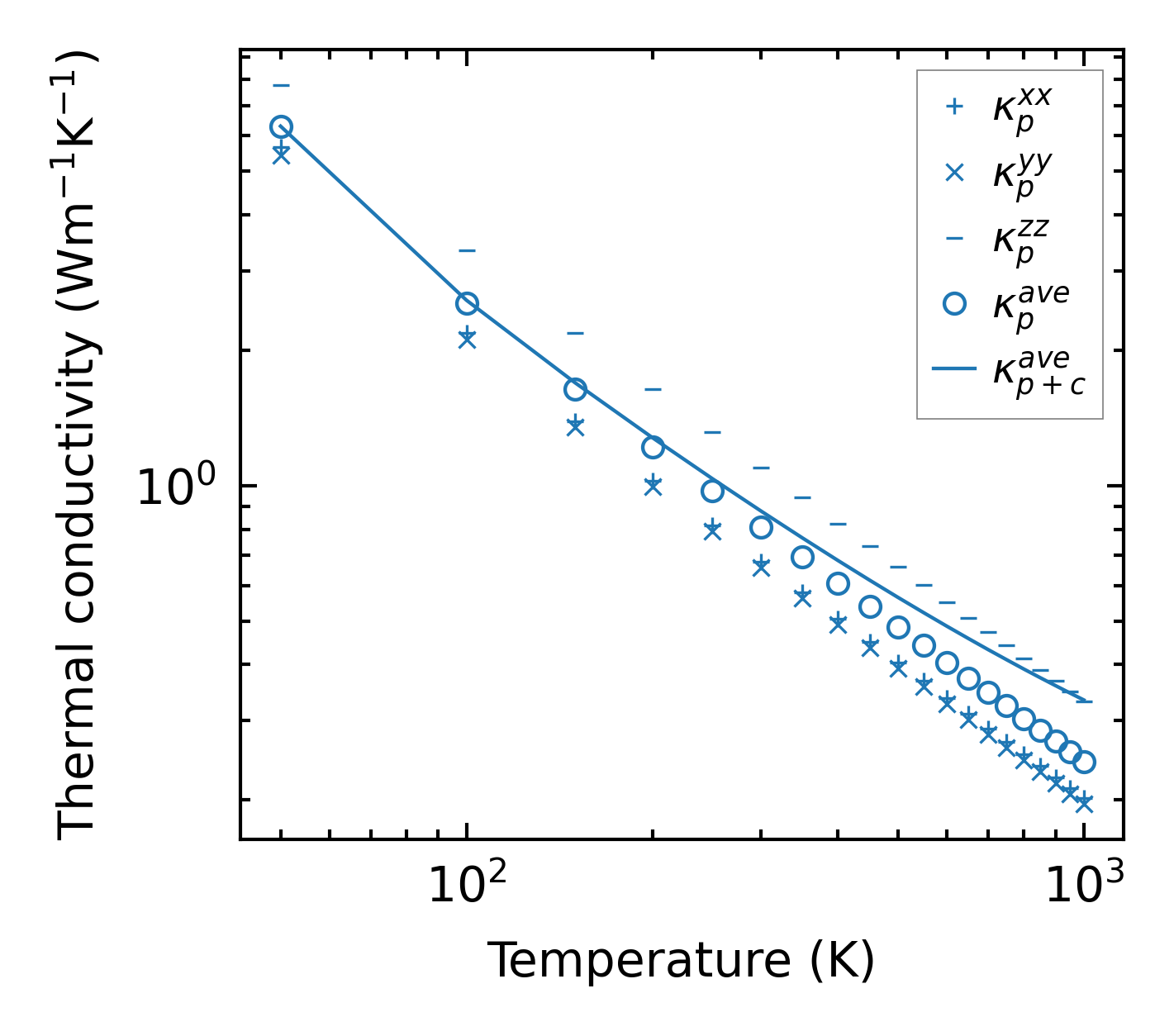
Summary

../../_images/fig_kappa12764.png

(a) Temperature-dependent lattice thermal conductivity

../../_images/fig_times25837.png

(b) Computation time