mp-12221/CaTeO4/anharm

Equation of state

../../_images/fig_bm7605.png

(a) Equation of state

Harmonic properties

../../_images/fig_bandos_pr15574.png

(a) Phonon dispersion with participation ratio and DOS

../../_images/fig_thermo15573.png

(b) Thermodynamic properties

Grüneisen parameters

../../_images/fig_gru_all6732.png

(a) Grüneisen parameters

../../_images/fig_gruneisen6732.png

(b) Phonon dispersion with Grüneisen parameters

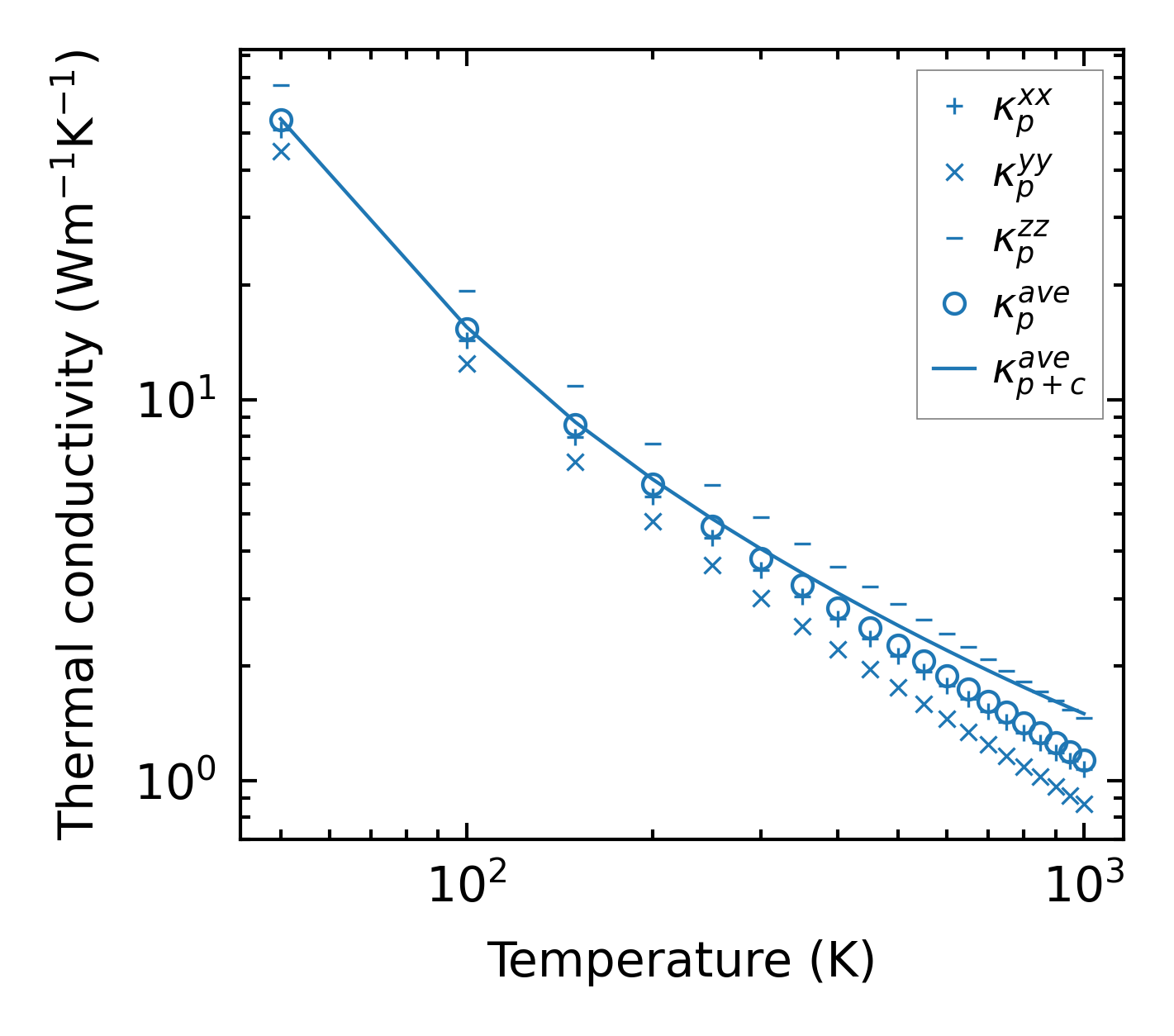
Thermal conductivity

3-phonon (LASSO) — q-mesh: 13x5x14, supercell: 2x1x3

../../_images/fig_kappa12676.png

(a) Temperature-dependent lattice thermal conductivity

../../_images/fig_kappa_vs_grain_size6811.png

(b) Peierls lattice thermal conductivity w.r.t grain size

Phonon lifetime and scattering rates

../../_images/fig_lifetime6666.png

(a) Phonon lifetime due to phonon-phonon scattering

../../_images/fig_scat_rates6665.png

(b) Phonon scattering rates

Cumulative and spectral thermal conductivity

../../_images/fig_cumu_frequency6666.png

(a) Spectral and cumulative thermal conductivity w.r.t frequency

../../_images/fig_cumu_mfp6665.png

(b) Spectral and cumulative thermal conductivity w.r.t MFP

Force constants

../../_images/fig_fc215169.png

(a) Force constants w.r.t atomic distance

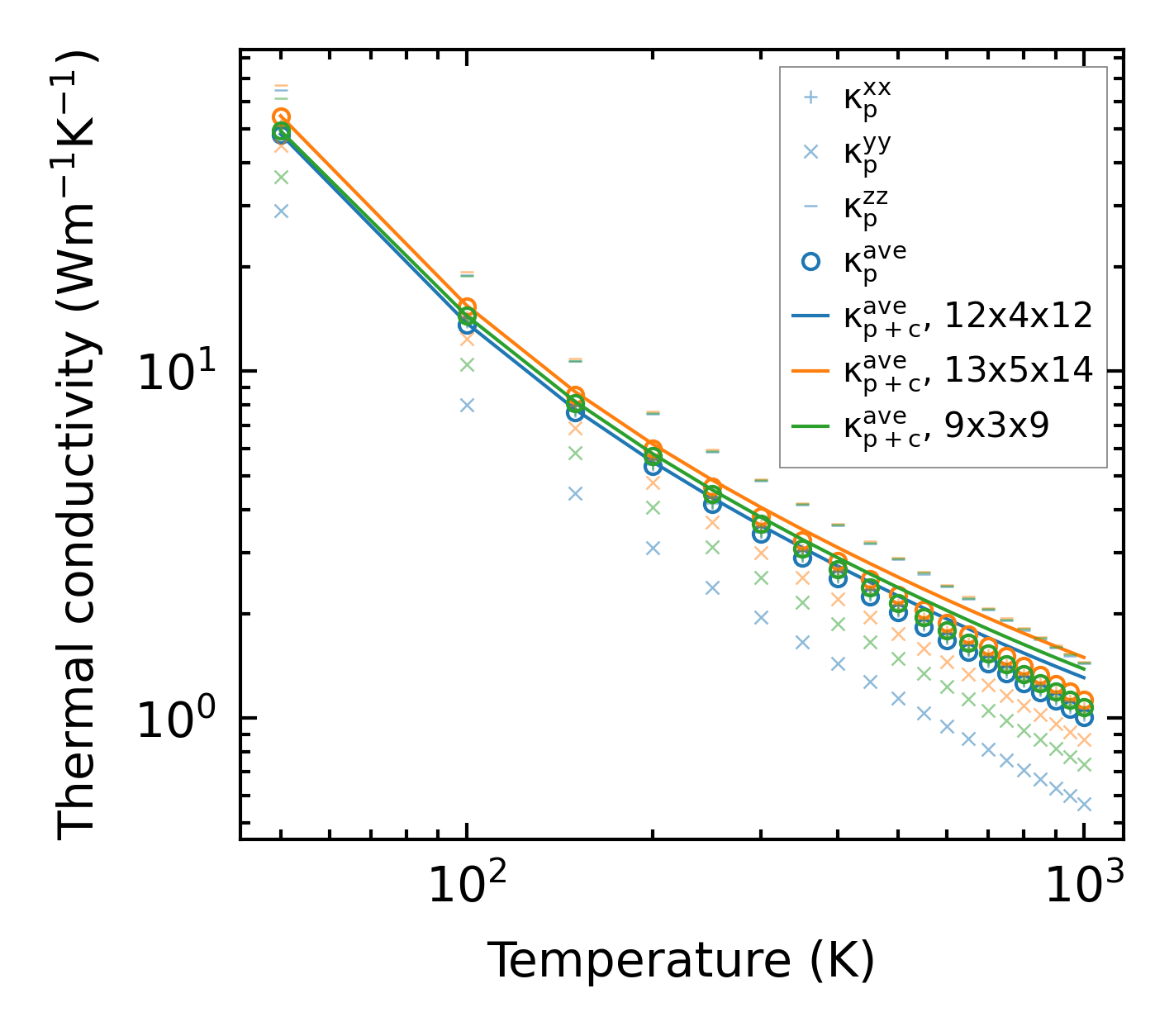
Summary

../../_images/fig_kappa12677.png

(a) Temperature-dependent lattice thermal conductivity

../../_images/fig_times25733.png

(b) Computation time